🇳🇴 🇬🇧 🇩🇪 🇨🇿 🇫🇮

Meteor, poloha: Byrum 2022-03-11 22:03:27 UTC

Soubor KML  |  InteraktivnĂ­ mapa

Mapa zobrazuje dráhy meteoru. Světlejší čáry ukazují směry od pozorovacích stanic při objevení se meteoru a tmavší čáry, kde byl naposledy viděn. Modrá šipka značí viditelnou dráhu meteoru.

static map
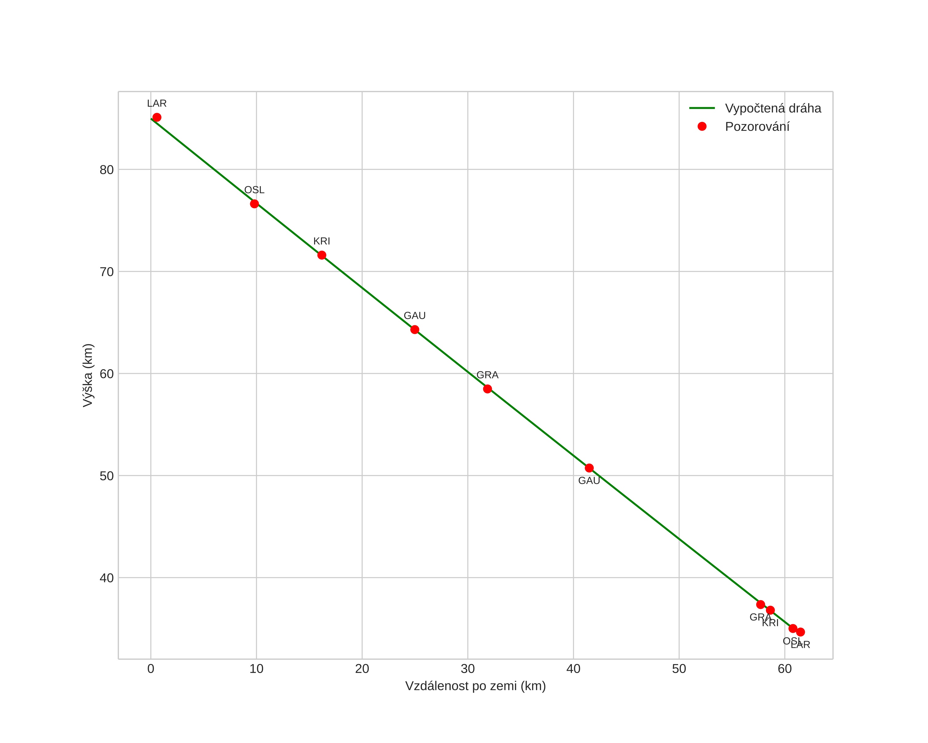
height profile
Atmosférická dráha meteoru:
Počáteční výška: 76,6 km
Konečná výška: 35,0 km
Počáteční poloha: 56,409N 11,498E
Konečná poloha: 56,835N 11,192E
Směr: 338,6°
Sklon: 39,2°
VstupnĂ­ rychlost: 23,5 km/s
Rektascenze radiantu: 11:12 (168,1°)
Deklinace radiantu: 4,1°
MeteorickĂ˝ roj: sporadickĂ˝
Elementy dráhy meteoroidu:
Vzdálenost v periheliu: 0,634 AU
Excentricita: 0,711
Sklon dráhy: 0,6°
Délka vzestupného uzlu: 171,0°
Argument perihelia: 82,5°
Střední anomálie: 346,3°
Epocha: 2022 MAR 11 22:03:27
orbit plot

NeinteraktivnĂ­ graf | InteraktivnĂ­ graf

position vs time
speed and acceleration

Gaustatoppen (GAU) cam4


gnomonic
Videa
• Gnomonická
• Gnomonická se souřadnicemi
• Původní
• Původní se souřadnicemi
Obrázky
• Gnomonická
• Gnomonická se souřadnicemi
• Gnomonická s popisky
• Původní
• Původní se souřadnicemi
Textové soubory
• Detekce
• Pozorování
• Souřadnice
• Chybová hlášení
• Protokol
Jasnost