🇳🇴 🇬🇧 🇩🇪 🇨🇿 🇫🇮

Meteor Byrumin yllä 2022-03-11 22:03:27 UTC

KML-tiedosto  |  Interaktiivinen kartta

Kartta näyttää meteorin suuntahavainnot. Vaaleammat viivat näyttävät suunnat havaintoasemilta meteorin ilmestyessä, ja tummemmat viivat näyttävät, missä se viimeksi nähtiin. Sininen nuoli näyttää meteorin näkyvän lennon.

static map
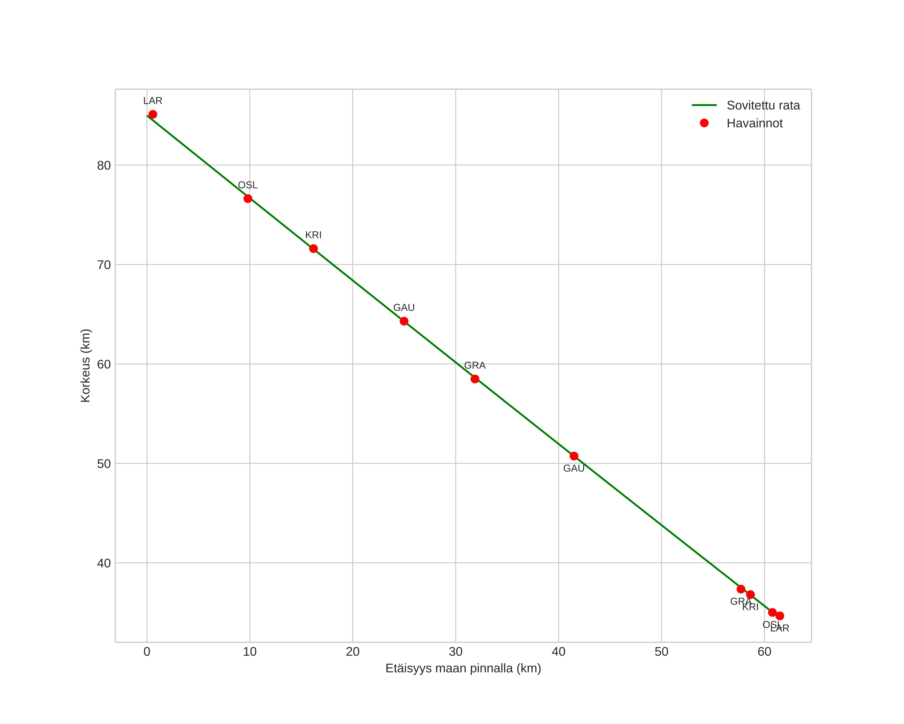
height profile
Meteorin ilmakehärata:
Alkukorkeus: 76,6 km
Loppukorkeus: 35,0 km
Alkupiste: 56,409N 11,498E
Loppupiste: 56,835N 11,192E
Suunta: 338,6°
Kallistuskulma: 39,2°
Tulonopeus: 23,5 km/s
Radiantin R,A,: 11:12 (168,1°)
Radiantin Dekl,: 4,1°
Meteoriparvi: Sporadinen
Meteoroidin rataelementit:
Perihelietäisyys: 0,634 AU
Eksentrisyys: 0,711
Inklinaatio: 0,6°
Nousevan solmun pituus: 171,0°
Perihelin argumentti: 82,5°
Keskianomalia: 346,3°
Epookki: 2022 MAR 11 22:03:27
orbit plot

Ei-interaktiivinen kuvaaja | Interaktiivinen kuvaaja

position vs time
speed and acceleration

Gaustatoppen (GAU) cam4


gnomonic
Videot:
• Gnomoninen
• Gnomoninen koordinaateilla
• Alkuperäinen
• Alkuperäinen koordinaateilla
Kuvat:
• Gnomoninen
• Gnomoninen koordinaateilla
• Gnomoninen merkinnöillä
• Alkuperäinen
• Alkuperäinen koordinaateilla
Tekstitiedostot:
• Havaintoraportti
• Observaatio
• Koordinaatit
• Virheilmoitukset
• Loki
Kirkkaus