🇳🇴 🇬🇧 🇩🇪 🇨🇿 🇫🇮

Meteor, poloha: Hällefors 2022-03-12 00:40:49 UTC

Soubor KML  |  InteraktivnĂ­ mapa

Mapa zobrazuje dráhy meteoru. Světlejší čáry ukazují směry od pozorovacích stanic při objevení se meteoru a tmavší čáry, kde byl naposledy viděn. Modrá šipka značí viditelnou dráhu meteoru.

static map
height profile
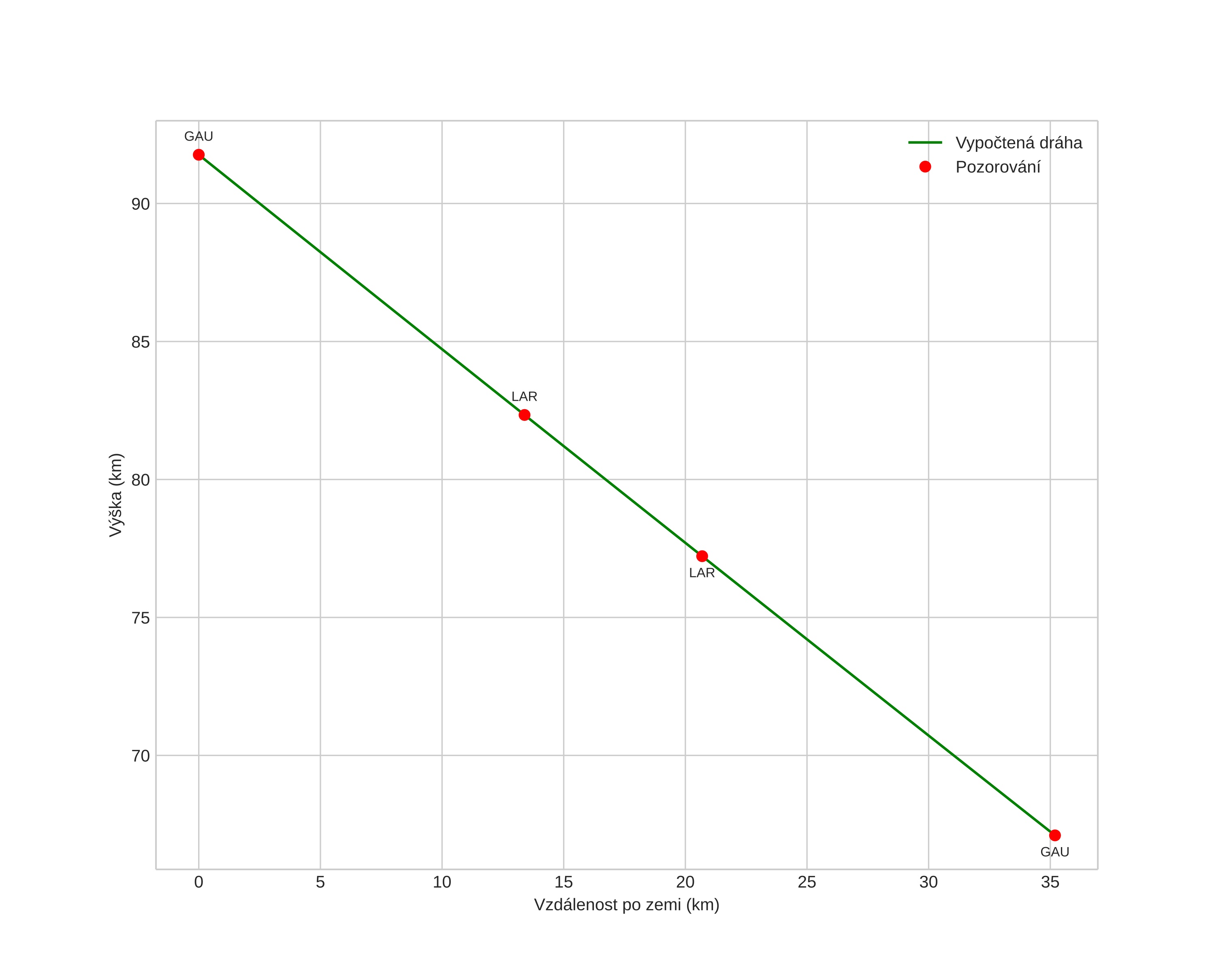
Atmosférická dráha meteoru:
Počáteční výška: 92,3 km
Konečná výška: 65,8 km
Počáteční poloha: 59,601N 14,595E
Konečná poloha: 59,909N 14,633E
Směr: 3,5°
Sklon: 37,7°
VstupnĂ­ rychlost: 31,6 km/s
Rektascenze radiantu: 12:43 (190,8°)
Deklinace radiantu: 5,6°
MeteorickĂ˝ roj: sporadickĂ˝
Elementy dráhy meteoroidu:
Vzdálenost v periheliu: 0,300 AU
Excentricita: 0,819
Sklon dráhy: 12,6°
Délka vzestupného uzlu: 351,1°
Argument perihelia: 303,4°
Střední anomálie: 340,2°
Epocha: 2022 MAR 12 00:40:49
orbit plot

NeinteraktivnĂ­ graf | InteraktivnĂ­ graf

position vs time
speed and acceleration