🇳🇴 🇬🇧 🇩🇪 🇨🇿 🇫🇮

Meteor Hälleforsin yllä 2022-03-12 00:40:49 UTC

KML-tiedosto  |  Interaktiivinen kartta

Kartta näyttää meteorin suuntahavainnot. Vaaleammat viivat näyttävät suunnat havaintoasemilta meteorin ilmestyessä, ja tummemmat viivat näyttävät, missä se viimeksi nähtiin. Sininen nuoli näyttää meteorin näkyvän lennon.

static map
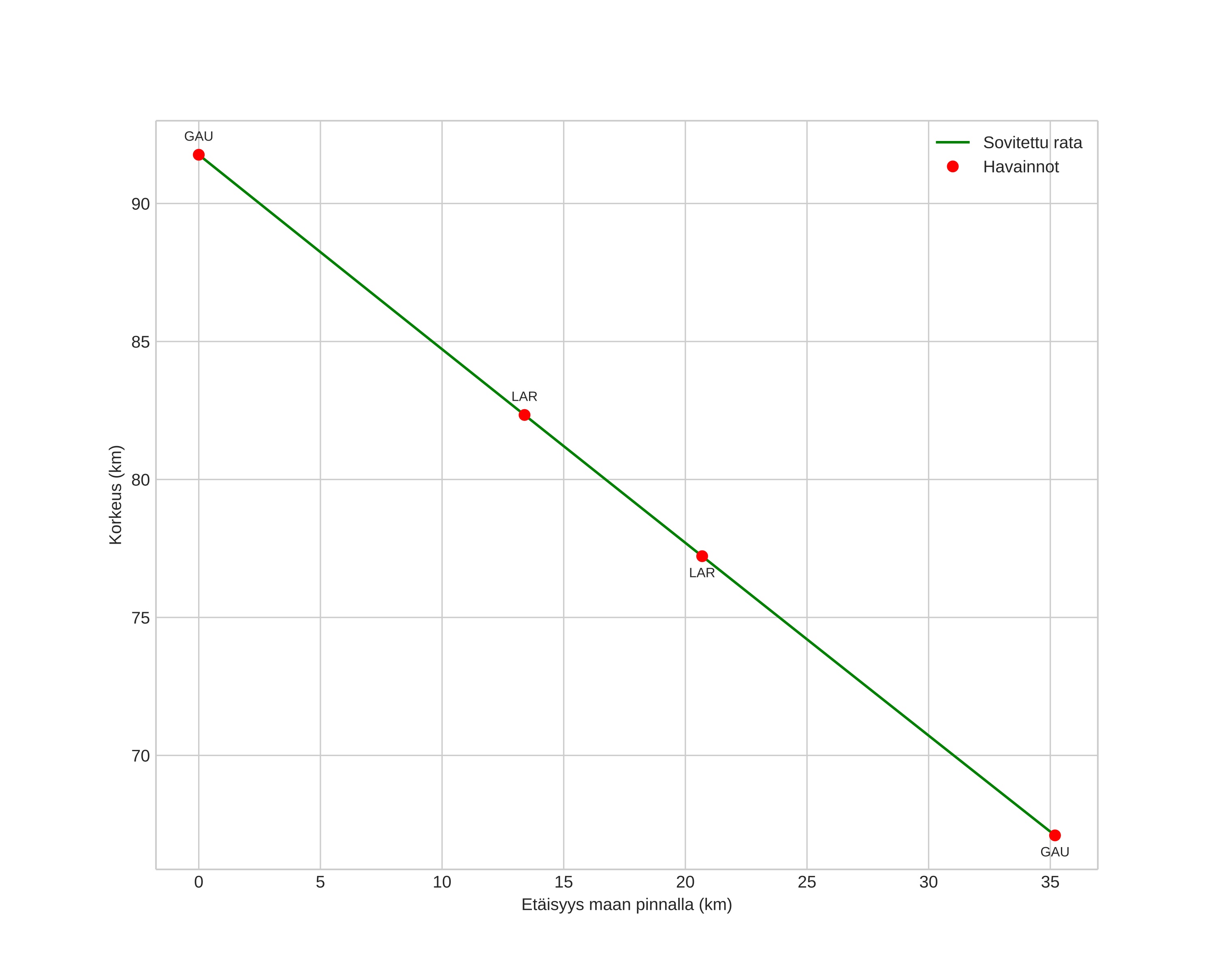
height profile
Meteorin ilmakehärata:
Alkukorkeus: 92,3 km
Loppukorkeus: 65,8 km
Alkupiste: 59,601N 14,595E
Loppupiste: 59,909N 14,633E
Suunta: 3,5°
Kallistuskulma: 37,7°
Tulonopeus: 31,6 km/s
Radiantin R,A,: 12:43 (190,8°)
Radiantin Dekl,: 5,6°
Meteoriparvi: Sporadinen
Meteoroidin rataelementit:
Perihelietäisyys: 0,300 AU
Eksentrisyys: 0,819
Inklinaatio: 12,6°
Nousevan solmun pituus: 351,1°
Perihelin argumentti: 303,4°
Keskianomalia: 340,2°
Epookki: 2022 MAR 12 00:40:49
orbit plot

Ei-interaktiivinen kuvaaja | Interaktiivinen kuvaaja

position vs time
speed and acceleration