🇳🇴 🇬🇧 🇩🇪 🇨🇿 🇫🇮

Meteor, poloha: Olderdalen 2022-03-12 18:53:34 UTC

Soubor KML  |  InteraktivnĂ­ mapa

Mapa zobrazuje dráhy meteoru. Světlejší čáry ukazují směry od pozorovacích stanic při objevení se meteoru a tmavší čáry, kde byl naposledy viděn. Modrá šipka značí viditelnou dráhu meteoru.

static map
height profile
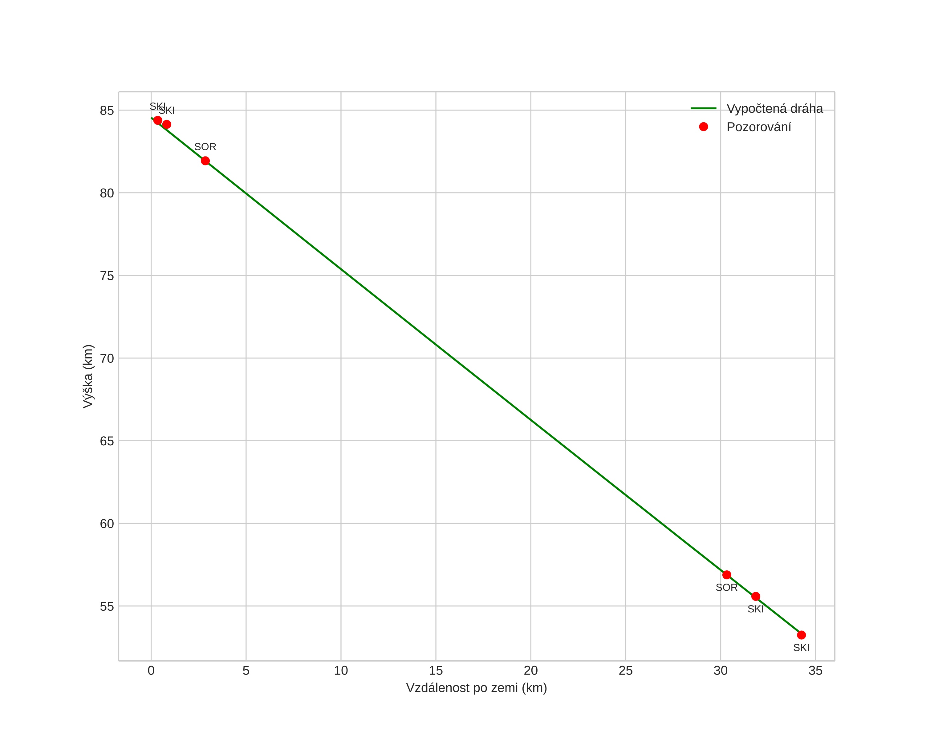
Atmosférická dráha meteoru:
Počáteční výška: 84,5 km
Konečná výška: 53,3 km
Počáteční poloha: 69,462N 21,487E
Konečná poloha: 69,550N 20,645E
Směr: 287,1°
Sklon: 42,3°
VstupnĂ­ rychlost: 21,5 km/s
Rektascenze radiantu: 11:38 (174,5°)
Deklinace radiantu: 30,4°
MeteorickĂ˝ roj: sporadickĂ˝
Elementy dráhy meteoroidu:
Vzdálenost v periheliu: 0,763 AU
Excentricita: 0,657
Sklon dráhy: 13,6°
Délka vzestupného uzlu: 351,9°
Argument perihelia: 245,5°
Střední anomálie: 347,7°
Epocha: 2022 MAR 12 18:53:34
orbit plot

NeinteraktivnĂ­ graf | InteraktivnĂ­ graf

position vs time
speed and acceleration