🇳🇴 🇬🇧 🇩🇪 🇨🇿 🇫🇮

Meteor Olderdalenin yllä 2022-03-12 18:53:34 UTC

KML-tiedosto  |  Interaktiivinen kartta

Kartta näyttää meteorin suuntahavainnot. Vaaleammat viivat näyttävät suunnat havaintoasemilta meteorin ilmestyessä, ja tummemmat viivat näyttävät, missä se viimeksi nähtiin. Sininen nuoli näyttää meteorin näkyvän lennon.

static map
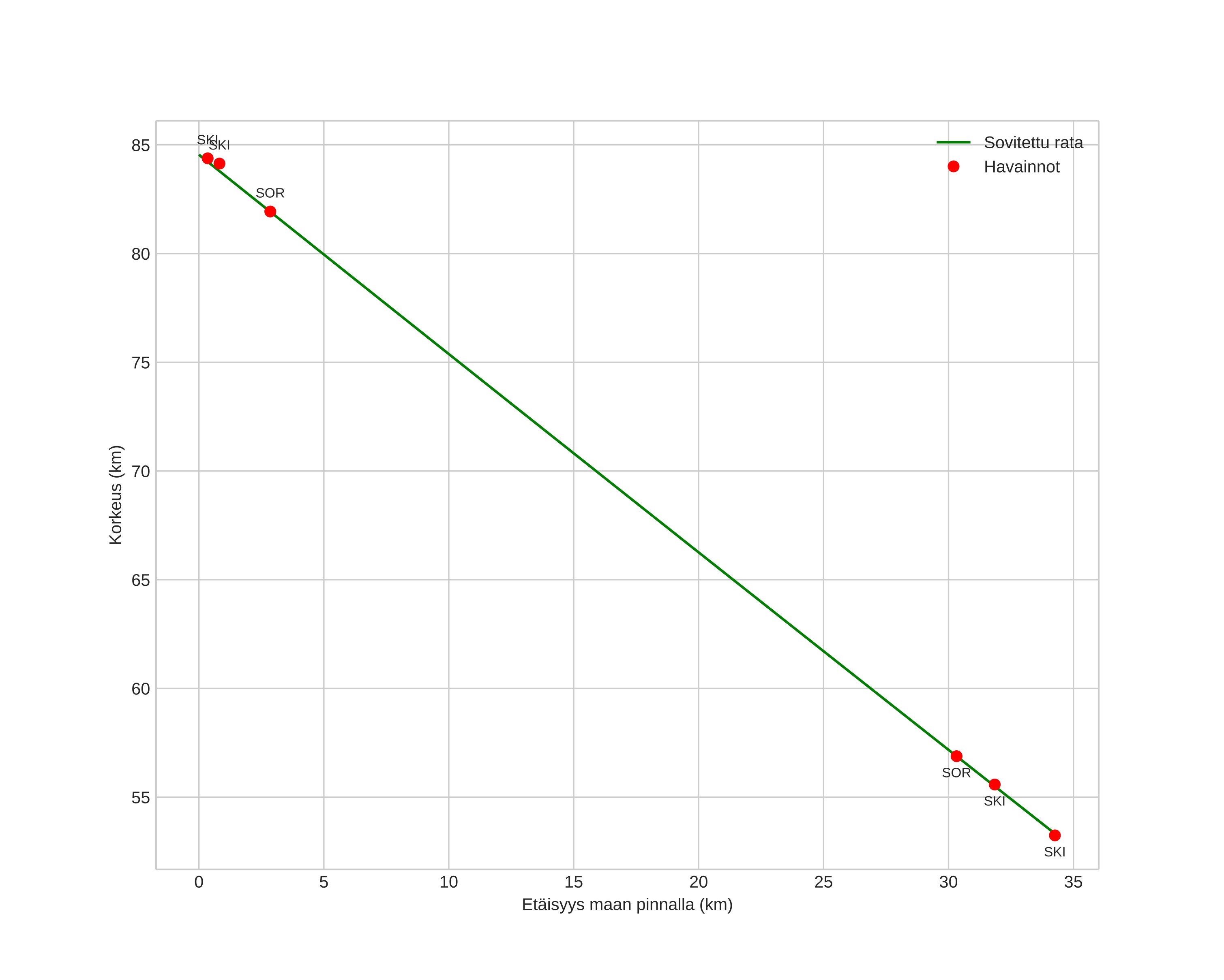
height profile
Meteorin ilmakehärata:
Alkukorkeus: 84,5 km
Loppukorkeus: 53,3 km
Alkupiste: 69,462N 21,487E
Loppupiste: 69,550N 20,645E
Suunta: 287,1°
Kallistuskulma: 42,3°
Tulonopeus: 21,5 km/s
Radiantin R,A,: 11:38 (174,5°)
Radiantin Dekl,: 30,4°
Meteoriparvi: Sporadinen
Meteoroidin rataelementit:
Perihelietäisyys: 0,763 AU
Eksentrisyys: 0,657
Inklinaatio: 13,6°
Nousevan solmun pituus: 351,9°
Perihelin argumentti: 245,5°
Keskianomalia: 347,7°
Epookki: 2022 MAR 12 18:53:34
orbit plot

Ei-interaktiivinen kuvaaja | Interaktiivinen kuvaaja

position vs time
speed and acceleration