🇳🇴 🇬🇧 🇩🇪 🇨🇿 🇫🇮

Meteor, poloha: Burfjord 2022-03-12 20:08:51 UTC

Soubor KML  |  InteraktivnĂ­ mapa

Mapa zobrazuje dráhy meteoru. Světlejší čáry ukazují směry od pozorovacích stanic při objevení se meteoru a tmavší čáry, kde byl naposledy viděn. Modrá šipka značí viditelnou dráhu meteoru.

static map
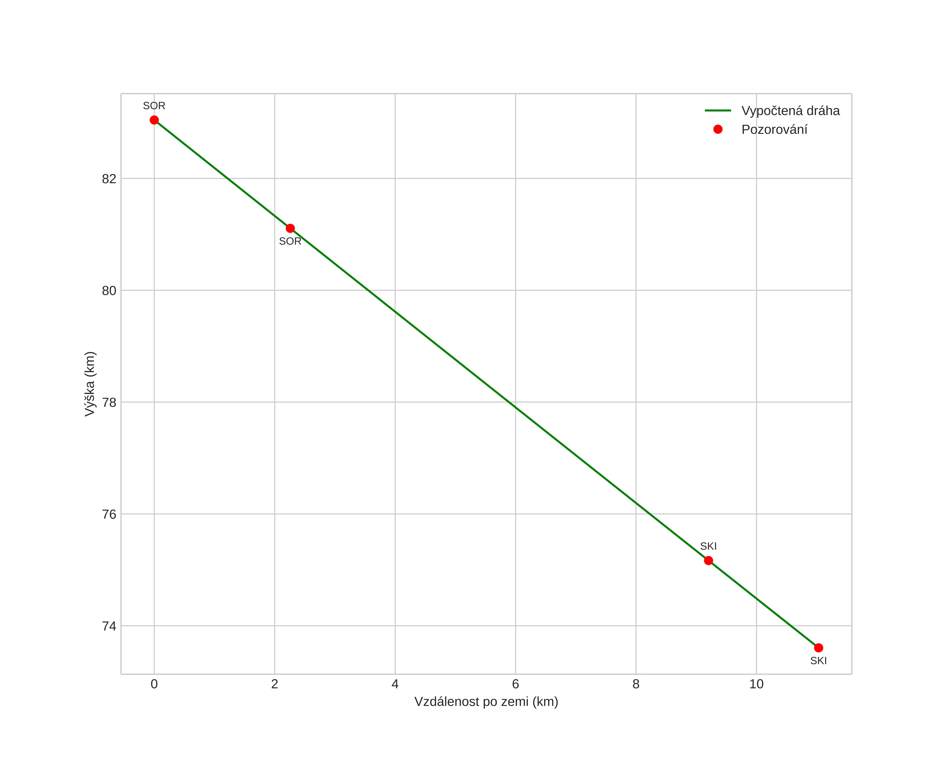
height profile
Atmosférická dráha meteoru:
Počáteční výška: 83,1 km
Konečná výška: 73,3 km
Počáteční poloha: 69,067N 22,199E
Konečná poloha: 69,166N 22,227E
Směr: 5,6°
Sklon: 41,5°
VstupnĂ­ rychlost: 11,3 km/s
Rektascenze radiantu: 08:30 (127,7°)
Deklinace radiantu: -13,8°
MeteorickĂ˝ roj: sporadickĂ˝
Elementy dráhy meteoroidu:
Vzdálenost v periheliu: 0,988 AU
Excentricita: 0,087
Sklon dráhy: 2,0°
Délka vzestupného uzlu: 171,9°
Argument perihelia: 22,1°
Střední anomálie: 341,5°
Epocha: 2022 MAR 12 20:08:51
orbit plot

NeinteraktivnĂ­ graf | InteraktivnĂ­ graf

position vs time
speed and acceleration