🇳🇴 🇬🇧 🇩🇪 🇨🇿 🇫🇮

Meteor Burfjordin yllä 2022-03-12 20:08:51 UTC

KML-tiedosto  |  Interaktiivinen kartta

Kartta näyttää meteorin suuntahavainnot. Vaaleammat viivat näyttävät suunnat havaintoasemilta meteorin ilmestyessä, ja tummemmat viivat näyttävät, missä se viimeksi nähtiin. Sininen nuoli näyttää meteorin näkyvän lennon.

static map
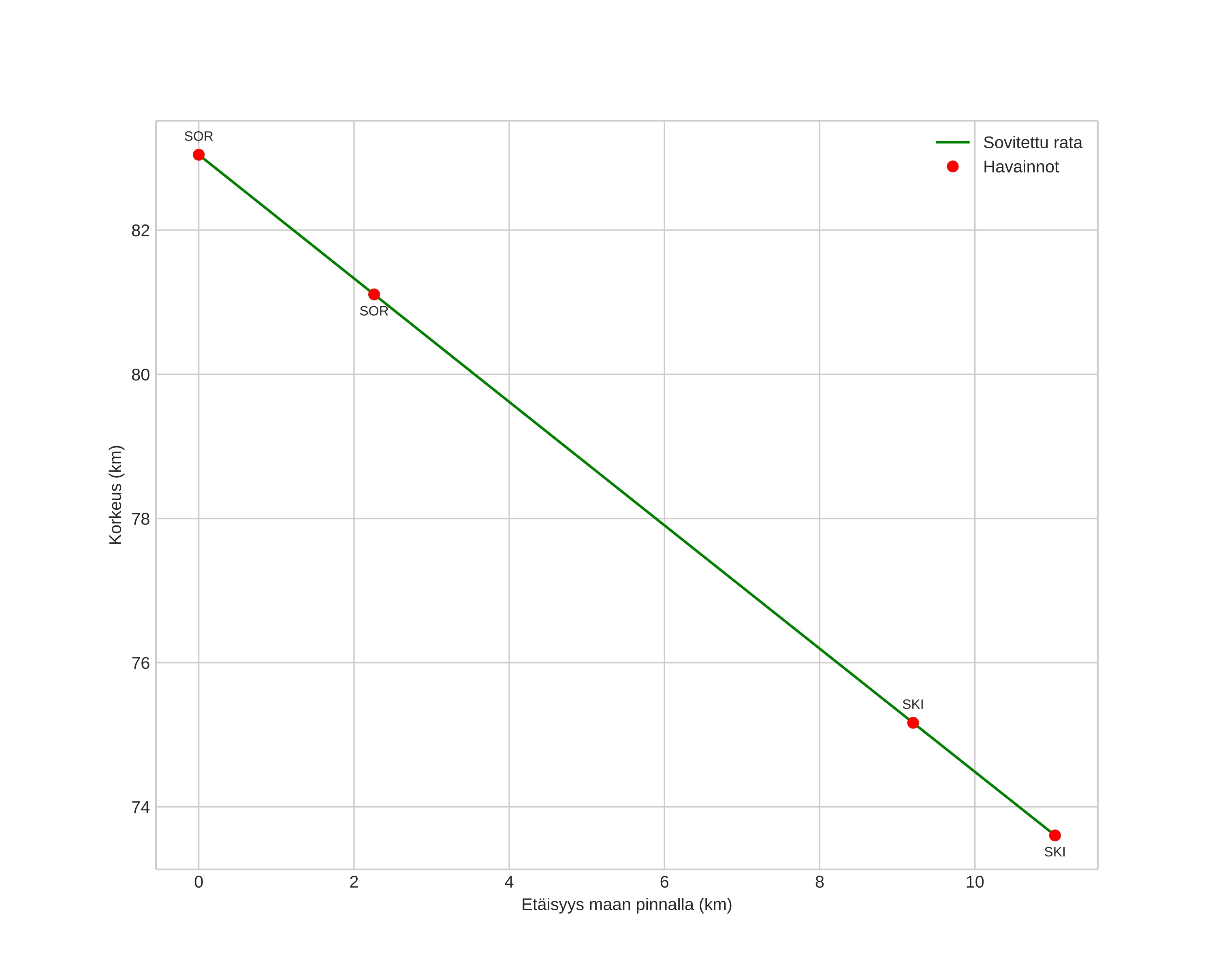
height profile
Meteorin ilmakehärata:
Alkukorkeus: 83,1 km
Loppukorkeus: 73,3 km
Alkupiste: 69,067N 22,199E
Loppupiste: 69,166N 22,227E
Suunta: 5,6°
Kallistuskulma: 41,5°
Tulonopeus: 11,3 km/s
Radiantin R,A,: 08:30 (127,7°)
Radiantin Dekl,: -13,8°
Meteoriparvi: Sporadinen
Meteoroidin rataelementit:
Perihelietäisyys: 0,988 AU
Eksentrisyys: 0,087
Inklinaatio: 2,0°
Nousevan solmun pituus: 171,9°
Perihelin argumentti: 22,1°
Keskianomalia: 341,5°
Epookki: 2022 MAR 12 20:08:51
orbit plot

Ei-interaktiivinen kuvaaja | Interaktiivinen kuvaaja

position vs time
speed and acceleration