🇳🇴 🇬🇧 🇩🇪 🇨🇿 🇫🇮

Meteor, poloha: Hansnes 2022-03-12 20:55:48 UTC

Soubor KML  |  InteraktivnĂ­ mapa

Mapa zobrazuje dráhy meteoru. Světlejší čáry ukazují směry od pozorovacích stanic při objevení se meteoru a tmavší čáry, kde byl naposledy viděn. Modrá šipka značí viditelnou dráhu meteoru.

static map
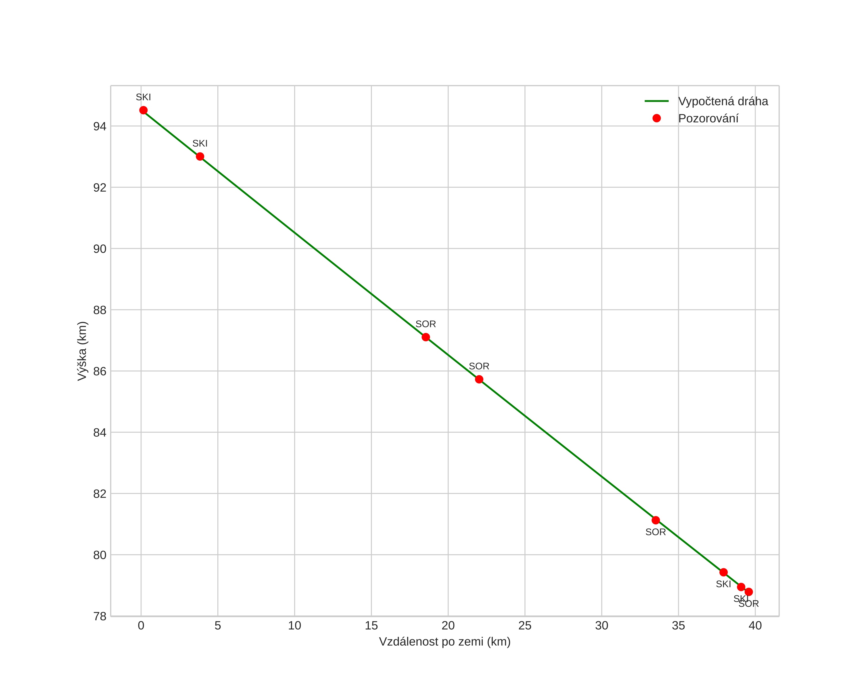
height profile
Atmosférická dráha meteoru:
Počáteční výška: 94,5 km
Konečná výška: 78,8 km
Počáteční poloha: 69,485N 20,302E
Konečná poloha: 69,741N 19,593E
Směr: 316,3°
Sklon: 21,6°
VstupnĂ­ rychlost: 32,2 km/s
Rektascenze radiantu: 12:19 (184,9°)
Deklinace radiantu: 4,0°
MeteorickĂ˝ roj: sporadickĂ˝
Elementy dráhy meteoroidu:
Vzdálenost v periheliu: 0,358 AU
Excentricita: 0,859
Sklon dráhy: 7,0°
Délka vzestupného uzlu: 352,0°
Argument perihelia: 292,6°
Střední anomálie: 349,9°
Epocha: 2022 MAR 12 20:55:48
orbit plot

NeinteraktivnĂ­ graf | InteraktivnĂ­ graf

position vs time
speed and acceleration