🇳🇴 🇬🇧 🇩🇪 🇨🇿 🇫🇮

Meteor Hansnesin yllä 2022-03-12 20:55:48 UTC

KML-tiedosto  |  Interaktiivinen kartta

Kartta näyttää meteorin suuntahavainnot. Vaaleammat viivat näyttävät suunnat havaintoasemilta meteorin ilmestyessä, ja tummemmat viivat näyttävät, missä se viimeksi nähtiin. Sininen nuoli näyttää meteorin näkyvän lennon.

static map
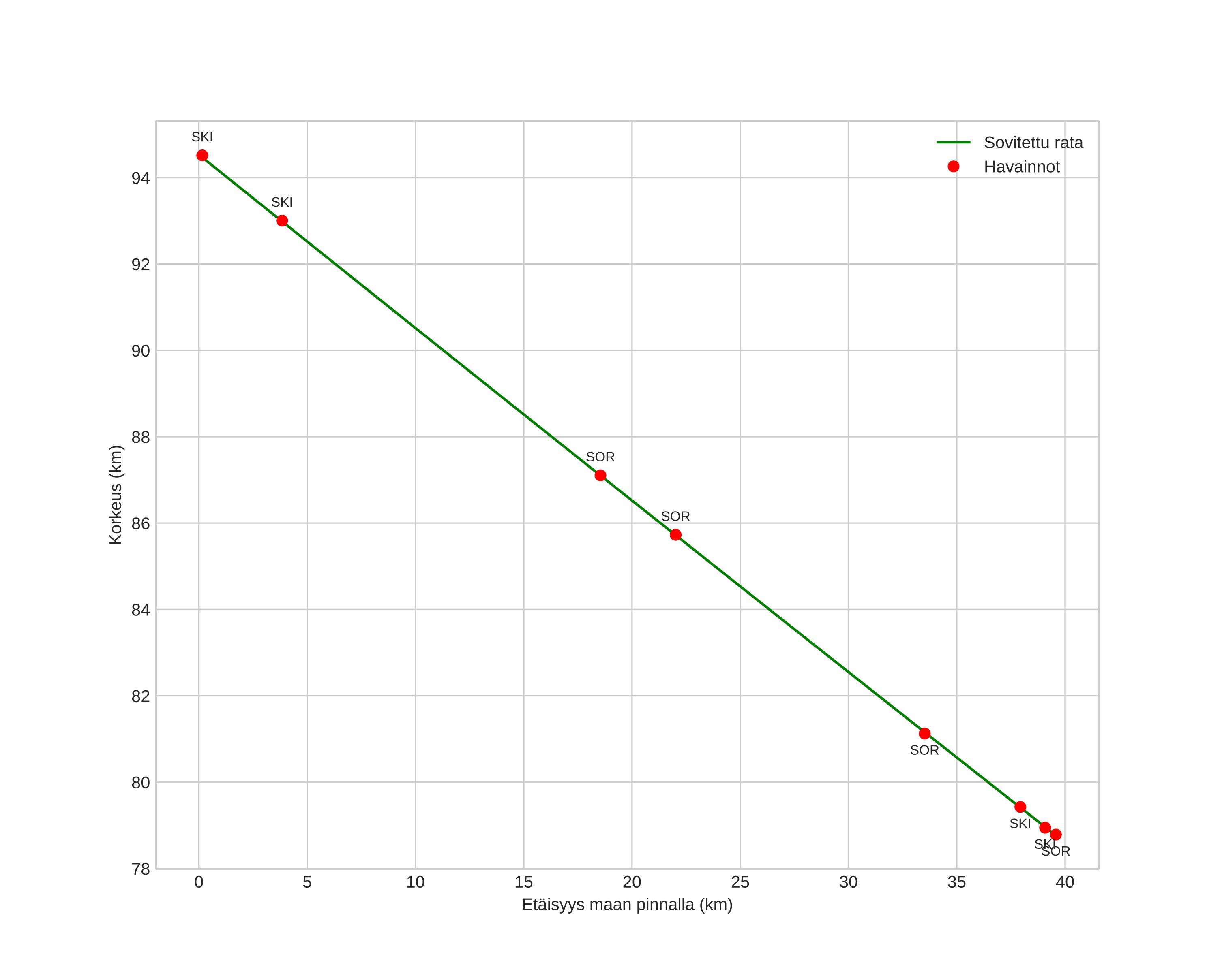
height profile
Meteorin ilmakehärata:
Alkukorkeus: 94,5 km
Loppukorkeus: 78,8 km
Alkupiste: 69,485N 20,302E
Loppupiste: 69,741N 19,593E
Suunta: 316,3°
Kallistuskulma: 21,6°
Tulonopeus: 32,2 km/s
Radiantin R,A,: 12:19 (184,9°)
Radiantin Dekl,: 4,0°
Meteoriparvi: Sporadinen
Meteoroidin rataelementit:
Perihelietäisyys: 0,358 AU
Eksentrisyys: 0,859
Inklinaatio: 7,0°
Nousevan solmun pituus: 352,0°
Perihelin argumentti: 292,6°
Keskianomalia: 349,9°
Epookki: 2022 MAR 12 20:55:48
orbit plot

Ei-interaktiivinen kuvaaja | Interaktiivinen kuvaaja

position vs time
speed and acceleration