🇳🇴 🇬🇧 🇩🇪 🇨🇿 🇫🇮

Meteor, poloha: Bollnäs 2022-03-12 23:31:27 UTC

Soubor KML  |  InteraktivnĂ­ mapa

Mapa zobrazuje dráhy meteoru. Světlejší čáry ukazují směry od pozorovacích stanic při objevení se meteoru a tmavší čáry, kde byl naposledy viděn. Modrá šipka značí viditelnou dráhu meteoru.

static map
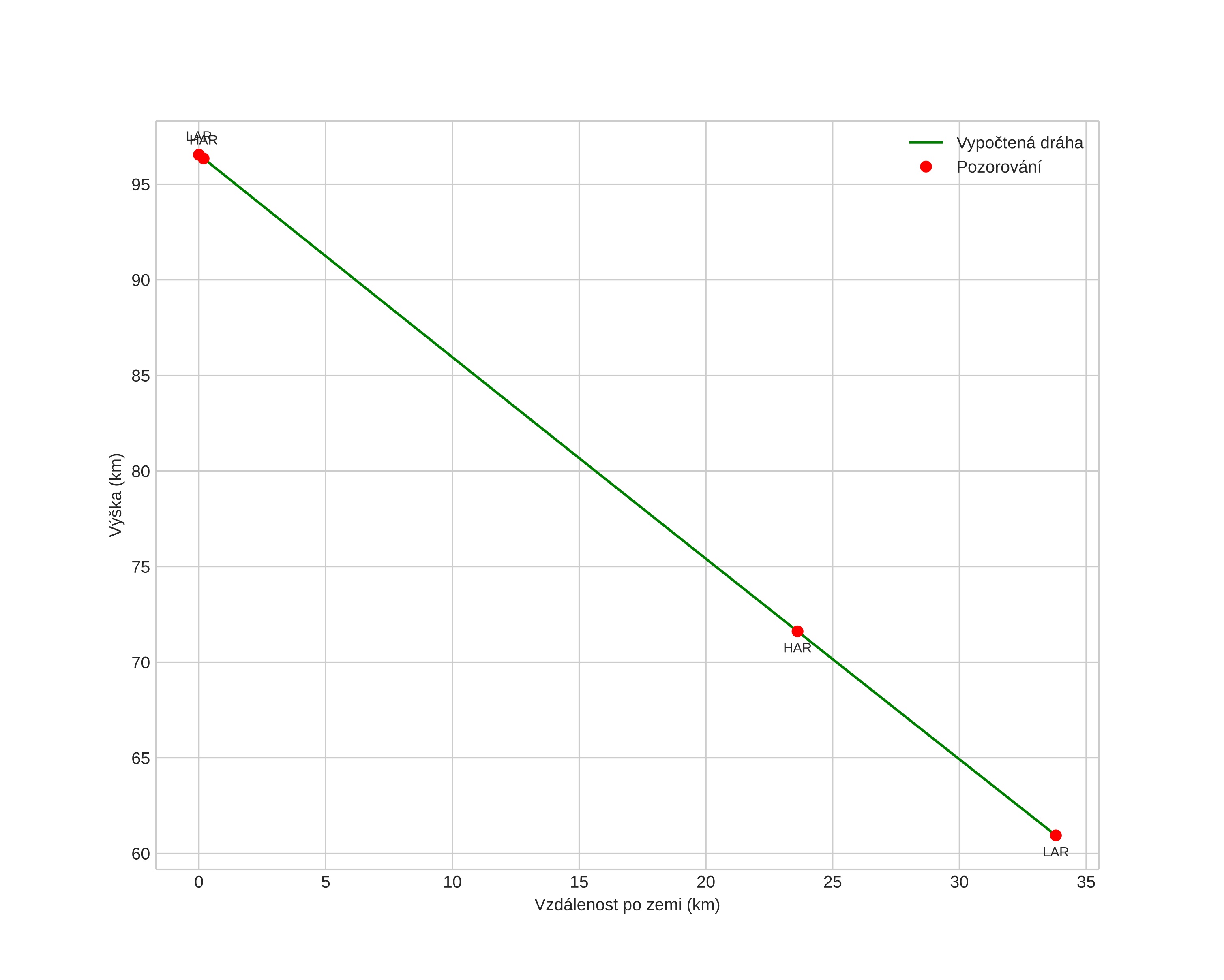
height profile
Atmosférická dráha meteoru:
Počáteční výška: 96,5 km
Konečná výška: 60,9 km
Počáteční poloha: 61,383N 16,883E
Konečná poloha: 61,282N 16,285E
Směr: 250,7°
Sklon: 46,5°
VstupnĂ­ rychlost: 39,9 km/s
Rektascenze radiantu: 17:11 (258,0°)
Deklinace radiantu: 47,7°
MeteorickĂ˝ roj: sporadickĂ˝
Elementy dráhy meteoroidu:
Vzdálenost v periheliu: 0,987 AU
Excentricita: 0,803
Sklon dráhy: 64,0°
Délka vzestupného uzlu: 352,1°
Argument perihelia: 190,3°
Střední anomálie: 359,3°
Epocha: 2022 MAR 12 23:31:27
orbit plot

NeinteraktivnĂ­ graf | InteraktivnĂ­ graf

position vs time
speed and acceleration