🇳🇴 🇬🇧 🇩🇪 🇨🇿 🇫🇮

Meteor Bollnäsin yllä 2022-03-12 23:31:27 UTC

KML-tiedosto  |  Interaktiivinen kartta

Kartta näyttää meteorin suuntahavainnot. Vaaleammat viivat näyttävät suunnat havaintoasemilta meteorin ilmestyessä, ja tummemmat viivat näyttävät, missä se viimeksi nähtiin. Sininen nuoli näyttää meteorin näkyvän lennon.

static map
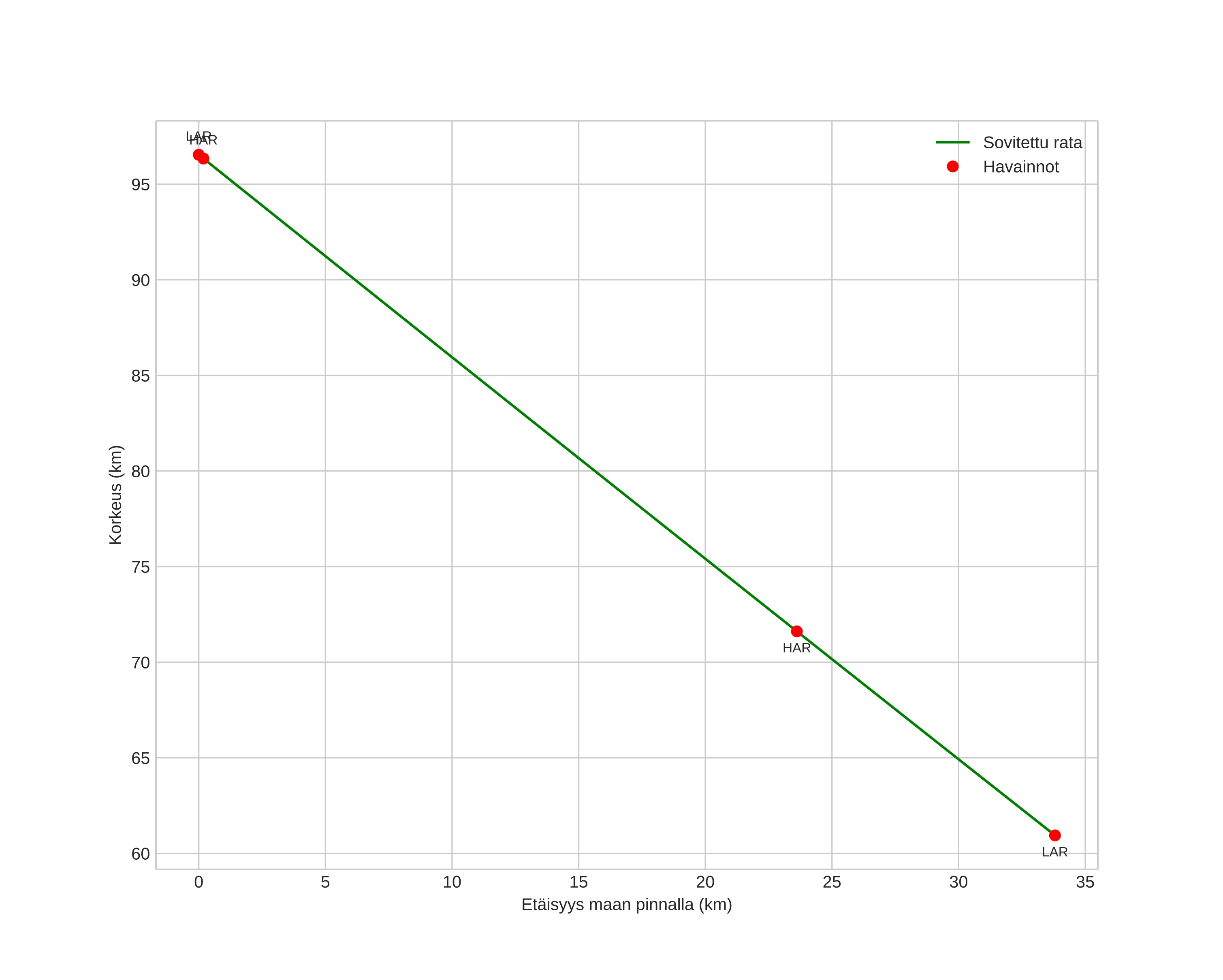
height profile
Meteorin ilmakehärata:
Alkukorkeus: 96,5 km
Loppukorkeus: 60,9 km
Alkupiste: 61,383N 16,883E
Loppupiste: 61,282N 16,285E
Suunta: 250,7°
Kallistuskulma: 46,5°
Tulonopeus: 39,9 km/s
Radiantin R,A,: 17:11 (258,0°)
Radiantin Dekl,: 47,7°
Meteoriparvi: Sporadinen
Meteoroidin rataelementit:
Perihelietäisyys: 0,987 AU
Eksentrisyys: 0,803
Inklinaatio: 64,0°
Nousevan solmun pituus: 352,1°
Perihelin argumentti: 190,3°
Keskianomalia: 359,3°
Epookki: 2022 MAR 12 23:31:27
orbit plot

Ei-interaktiivinen kuvaaja | Interaktiivinen kuvaaja

position vs time
speed and acceleration

Larvik (LAR) cam2


gnomonic
Videot:
• Gnomoninen
• Gnomoninen koordinaateilla
• Alkuperäinen
• Alkuperäinen koordinaateilla
Kuvat:
• Gnomoninen
• Gnomoninen koordinaateilla
• Gnomoninen merkinnöillä
• Alkuperäinen
• Alkuperäinen koordinaateilla
• Alkuperäinen maskilla
Tekstitiedostot:
• Havaintoraportti
• Observaatio
• Koordinaatit
• Loki
Kirkkaus