🇳🇴 🇬🇧 🇩🇪 🇨🇿 🇫🇮

Meteor, poloha: Skjærhalden 2022-03-14 18:40:18 UTC

Soubor KML  |  InteraktivnĂ­ mapa

Mapa zobrazuje dráhy meteoru. Světlejší čáry ukazují směry od pozorovacích stanic při objevení se meteoru a tmavší čáry, kde byl naposledy viděn. Modrá šipka značí viditelnou dráhu meteoru.

static map
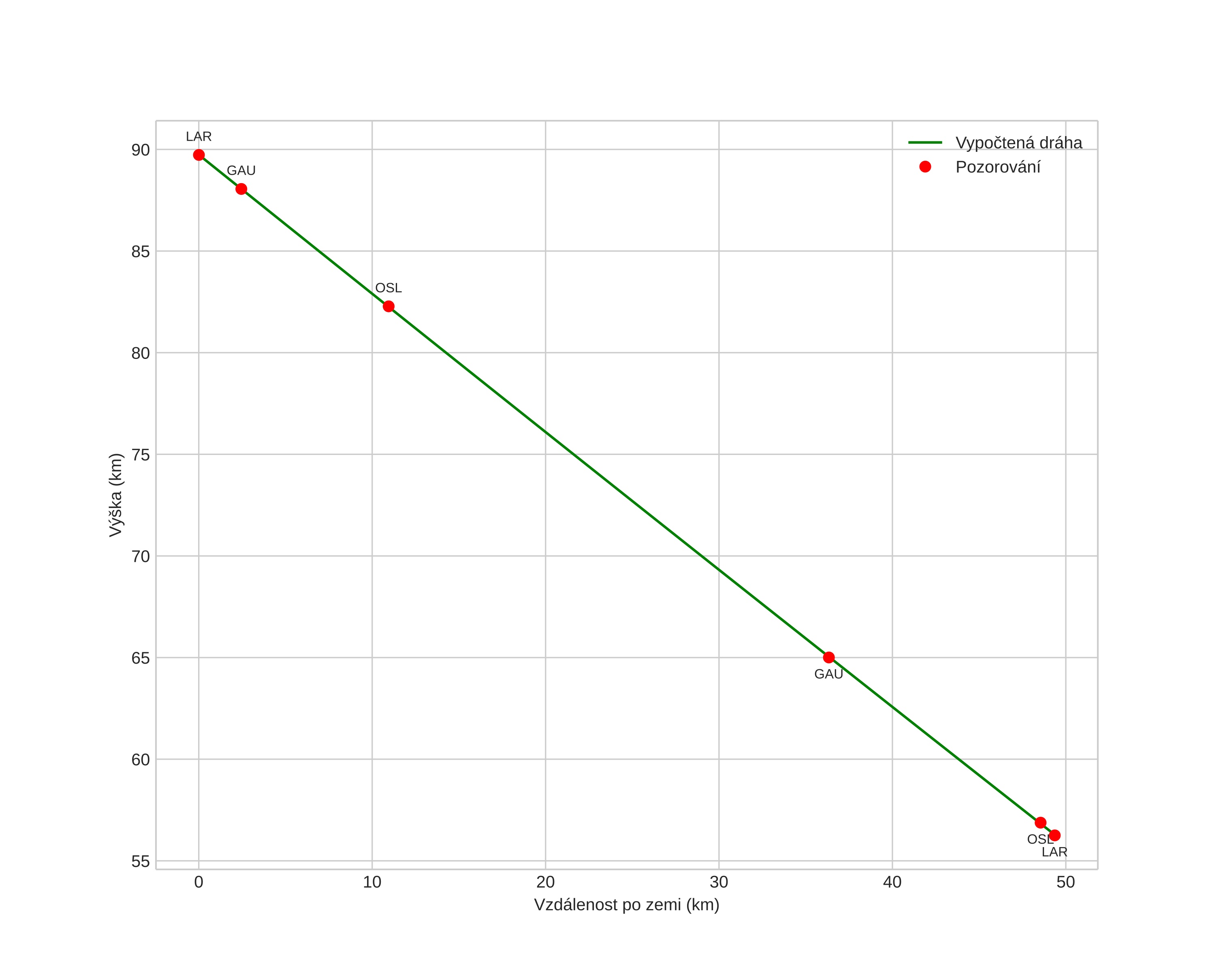
height profile
Atmosférická dráha meteoru:
Počáteční výška: 89,8 km
Konečná výška: 56,3 km
Počáteční poloha: 58,607N 11,651E
Konečná poloha: 58,727N 10,828E
Směr: 286,0°
Sklon: 34,1°
VstupnĂ­ rychlost: 21,6 km/s
Rektascenze radiantu: 10:57 (164,5°)
Deklinace radiantu: 17,4°
MeteorickĂ˝ roj: sporadickĂ˝
Elementy dráhy meteoroidu:
Vzdálenost v periheliu: 0,768 AU
Excentricita: 0,749
Sklon dráhy: 5,2°
Délka vzestupného uzlu: 353,9°
Argument perihelia: 242,0°
Střední anomálie: 352,9°
Epocha: 2022 MAR 14 18:40:18
orbit plot

NeinteraktivnĂ­ graf | InteraktivnĂ­ graf

position vs time
speed and acceleration