🇳🇴 🇬🇧 🇩🇪 🇨🇿 🇫🇮

Meteor Skjærhaldenin yllä 2022-03-14 18:40:18 UTC

KML-tiedosto  |  Interaktiivinen kartta

Kartta näyttää meteorin suuntahavainnot. Vaaleammat viivat näyttävät suunnat havaintoasemilta meteorin ilmestyessä, ja tummemmat viivat näyttävät, missä se viimeksi nähtiin. Sininen nuoli näyttää meteorin näkyvän lennon.

static map
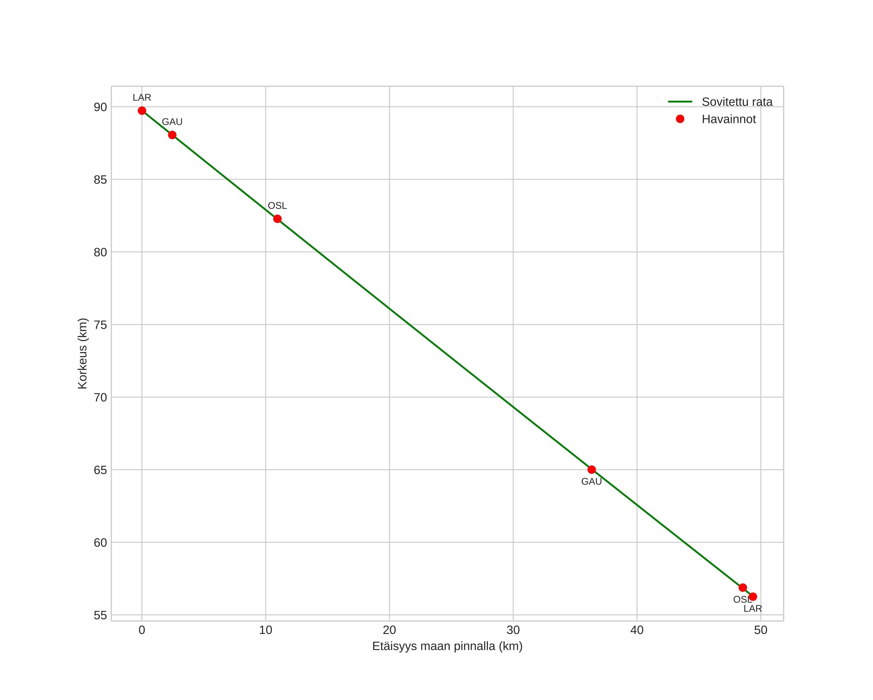
height profile
Meteorin ilmakehärata:
Alkukorkeus: 89,8 km
Loppukorkeus: 56,3 km
Alkupiste: 58,607N 11,651E
Loppupiste: 58,727N 10,828E
Suunta: 286,0°
Kallistuskulma: 34,1°
Tulonopeus: 21,6 km/s
Radiantin R,A,: 10:57 (164,5°)
Radiantin Dekl,: 17,4°
Meteoriparvi: Sporadinen
Meteoroidin rataelementit:
Perihelietäisyys: 0,768 AU
Eksentrisyys: 0,749
Inklinaatio: 5,2°
Nousevan solmun pituus: 353,9°
Perihelin argumentti: 242,0°
Keskianomalia: 352,9°
Epookki: 2022 MAR 14 18:40:18
orbit plot

Ei-interaktiivinen kuvaaja | Interaktiivinen kuvaaja

position vs time
speed and acceleration