🇳🇴 🇬🇧 🇩🇪 🇨🇿 🇫🇮

Meteor, poloha: Smögen 2022-03-14 19:09:36 UTC

Soubor KML  |  InteraktivnĂ­ mapa

Mapa zobrazuje dráhy meteoru. Světlejší čáry ukazují směry od pozorovacích stanic při objevení se meteoru a tmavší čáry, kde byl naposledy viděn. Modrá šipka značí viditelnou dráhu meteoru.

static map
height profile
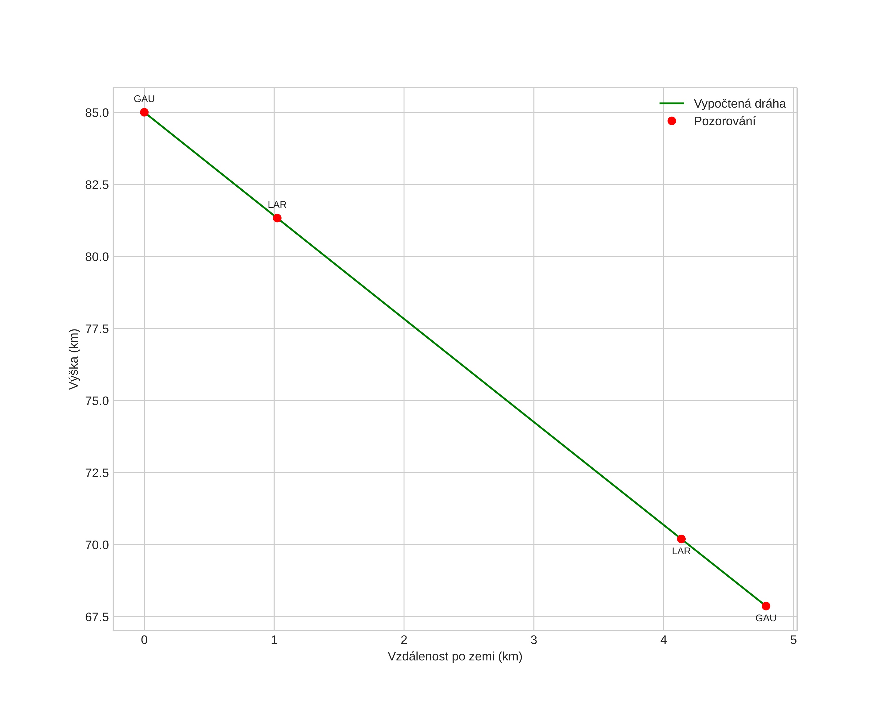
Atmosférická dráha meteoru:
Počáteční výška: 85,0 km
Konečná výška: 67,9 km
Počáteční poloha: 58,161N 11,156E
Konečná poloha: 58,127N 11,204E
Směr: 143,8°
Sklon: 74,4°
VstupnĂ­ rychlost: 15,8 km/s
Rektascenze radiantu: 05:00 (75,2°)
Deklinace radiantu: 69,3°
MeteorickĂ˝ roj: sporadickĂ˝
Elementy dráhy meteoroidu:
Vzdálenost v periheliu: 0,994 AU
Excentricita: 0,674
Sklon dráhy: 12,2°
Délka vzestupného uzlu: 353,9°
Argument perihelia: 177,6°
Střední anomálie: 0,3°
Epocha: 2022 MAR 14 19:09:36
orbit plot

NeinteraktivnĂ­ graf | InteraktivnĂ­ graf

position vs time
speed and acceleration