🇳🇴 🇬🇧 🇩🇪 🇨🇿 🇫🇮

Meteor Smögenin yllä 2022-03-14 19:09:36 UTC

KML-tiedosto  |  Interaktiivinen kartta

Kartta näyttää meteorin suuntahavainnot. Vaaleammat viivat näyttävät suunnat havaintoasemilta meteorin ilmestyessä, ja tummemmat viivat näyttävät, missä se viimeksi nähtiin. Sininen nuoli näyttää meteorin näkyvän lennon.

static map
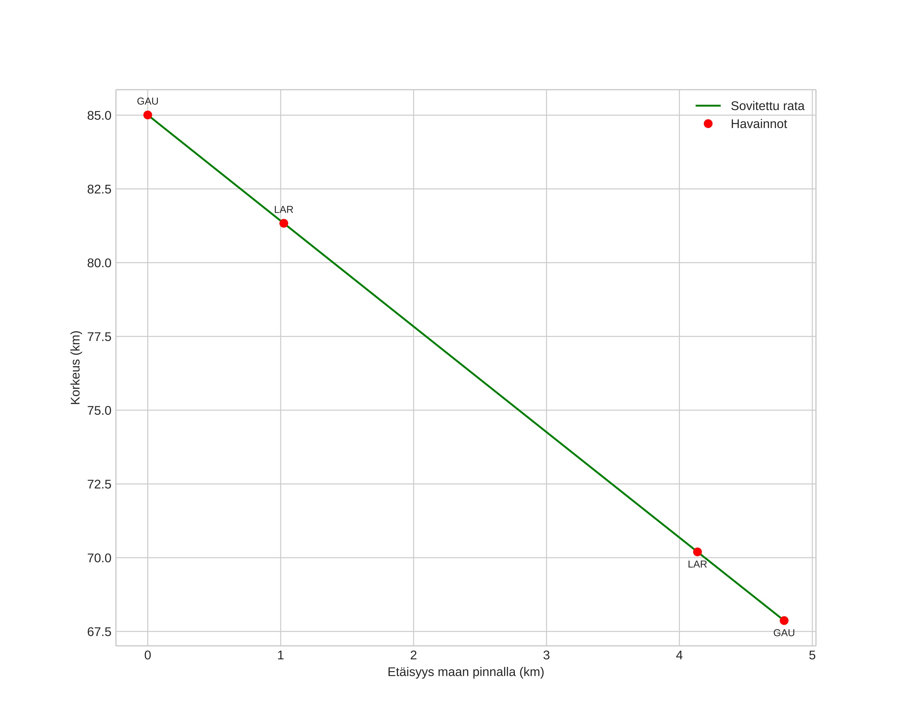
height profile
Meteorin ilmakehärata:
Alkukorkeus: 85,0 km
Loppukorkeus: 67,9 km
Alkupiste: 58,161N 11,156E
Loppupiste: 58,127N 11,204E
Suunta: 143,8°
Kallistuskulma: 74,4°
Tulonopeus: 15,8 km/s
Radiantin R,A,: 05:00 (75,2°)
Radiantin Dekl,: 69,3°
Meteoriparvi: Sporadinen
Meteoroidin rataelementit:
Perihelietäisyys: 0,994 AU
Eksentrisyys: 0,674
Inklinaatio: 12,2°
Nousevan solmun pituus: 353,9°
Perihelin argumentti: 177,6°
Keskianomalia: 0,3°
Epookki: 2022 MAR 14 19:09:36
orbit plot

Ei-interaktiivinen kuvaaja | Interaktiivinen kuvaaja

position vs time
speed and acceleration