🇳🇴 🇬🇧 🇩🇪 🇨🇿 🇫🇮

Meteor, poloha: Andenes 2022-03-16 02:39:44 UTC

Soubor KML  |  InteraktivnĂ­ mapa

Mapa zobrazuje dráhy meteoru. Světlejší čáry ukazují směry od pozorovacích stanic při objevení se meteoru a tmavší čáry, kde byl naposledy viděn. Modrá šipka značí viditelnou dráhu meteoru.

static map
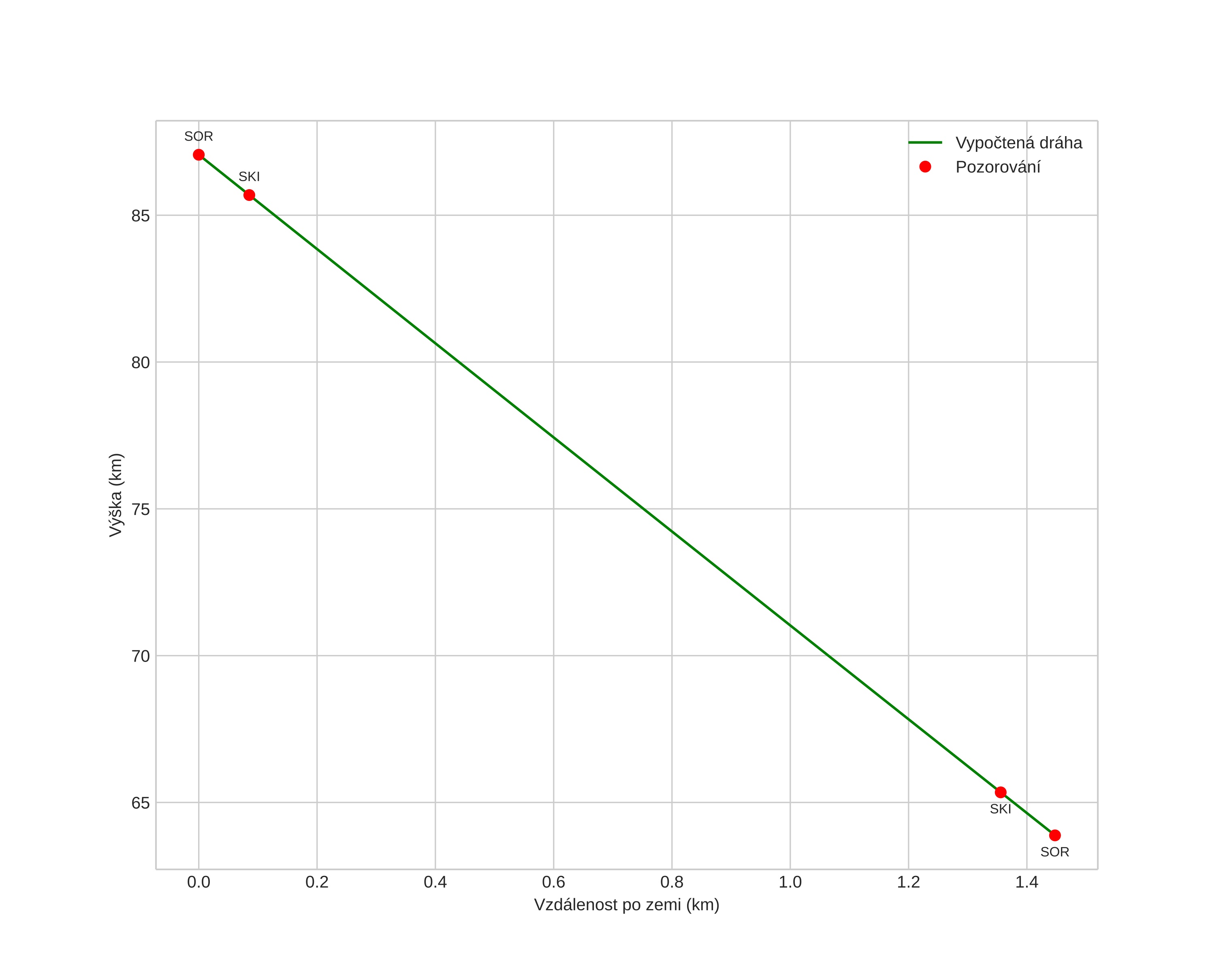
height profile
Atmosférická dráha meteoru:
Počáteční výška: 86,7 km
Konečná výška: 63,6 km
Počáteční poloha: 70,169N 16,419E
Konečná poloha: 70,176N 16,393E
Směr: 308,4°
Sklon: 86,9°
VstupnĂ­ rychlost: 26,3 km/s
Rektascenze radiantu: 15:43 (235,8°)
Deklinace radiantu: 68,0°
MeteorickĂ˝ roj: sporadickĂ˝
Elementy dráhy meteoroidu:
Vzdálenost v periheliu: 0,978 AU
Excentricita: 0,749
Sklon dráhy: 36,4°
Délka vzestupného uzlu: 355,2°
Argument perihelia: 196,1°
Střední anomálie: 358,5°
Epocha: 2022 MAR 16 02:39:44
orbit plot

NeinteraktivnĂ­ graf | InteraktivnĂ­ graf

position vs time
speed and acceleration