🇳🇴 🇬🇧 🇩🇪 🇨🇿 🇫🇮

Meteor Andenesin yllä 2022-03-16 02:39:44 UTC

KML-tiedosto  |  Interaktiivinen kartta

Kartta näyttää meteorin suuntahavainnot. Vaaleammat viivat näyttävät suunnat havaintoasemilta meteorin ilmestyessä, ja tummemmat viivat näyttävät, missä se viimeksi nähtiin. Sininen nuoli näyttää meteorin näkyvän lennon.

static map
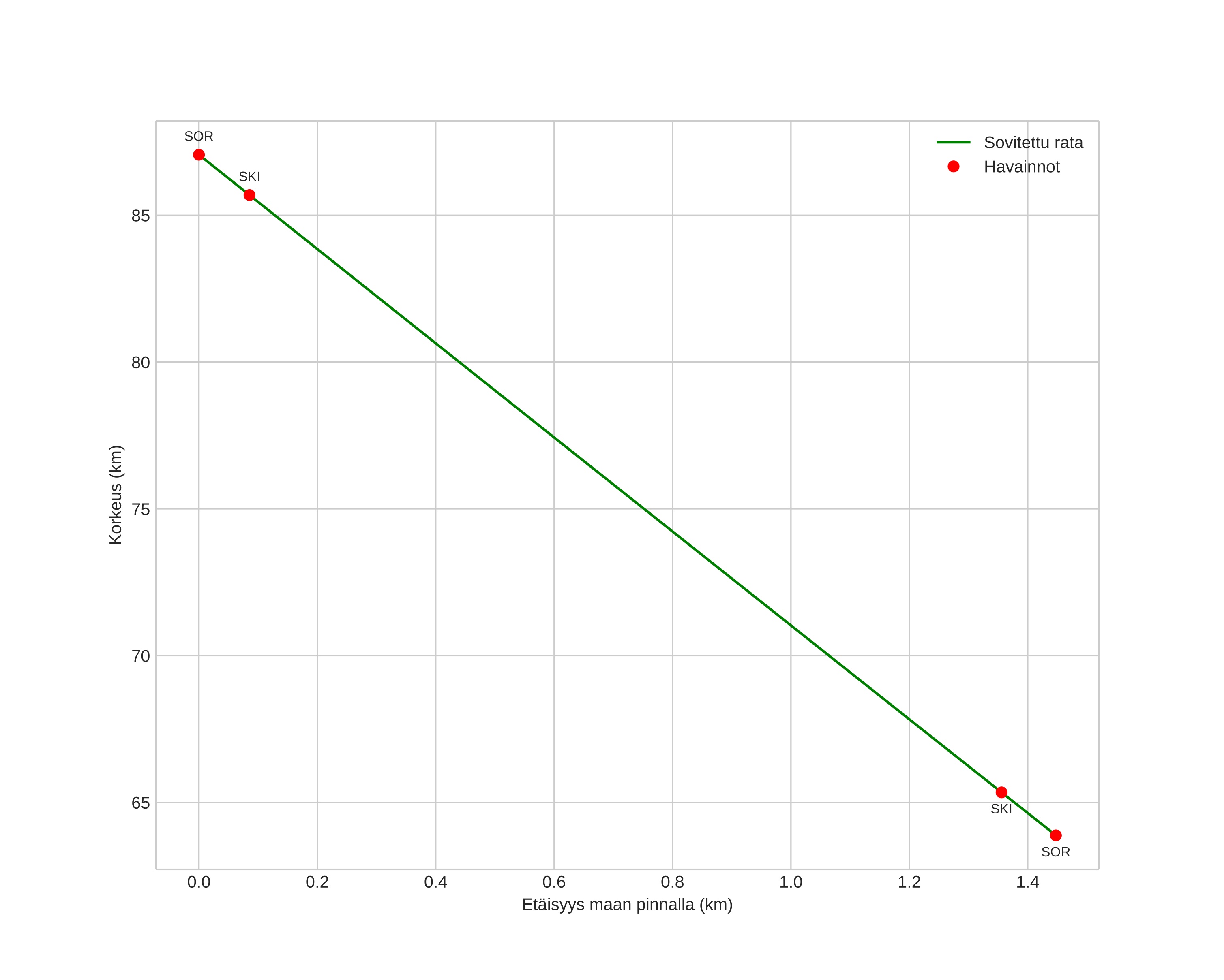
height profile
Meteorin ilmakehärata:
Alkukorkeus: 86,7 km
Loppukorkeus: 63,6 km
Alkupiste: 70,169N 16,419E
Loppupiste: 70,176N 16,393E
Suunta: 308,4°
Kallistuskulma: 86,9°
Tulonopeus: 26,3 km/s
Radiantin R,A,: 15:43 (235,8°)
Radiantin Dekl,: 68,0°
Meteoriparvi: Sporadinen
Meteoroidin rataelementit:
Perihelietäisyys: 0,978 AU
Eksentrisyys: 0,749
Inklinaatio: 36,4°
Nousevan solmun pituus: 355,2°
Perihelin argumentti: 196,1°
Keskianomalia: 358,5°
Epookki: 2022 MAR 16 02:39:44
orbit plot

Ei-interaktiivinen kuvaaja | Interaktiivinen kuvaaja

position vs time
speed and acceleration