🇳🇴 🇬🇧 🇩🇪 🇨🇿 🇫🇮

Meteor, poloha: Kiruna 2022-03-16 18:57:40 UTC

Soubor KML  |  InteraktivnĂ­ mapa

Mapa zobrazuje dráhy meteoru. Světlejší čáry ukazují směry od pozorovacích stanic při objevení se meteoru a tmavší čáry, kde byl naposledy viděn. Modrá šipka značí viditelnou dráhu meteoru.

static map
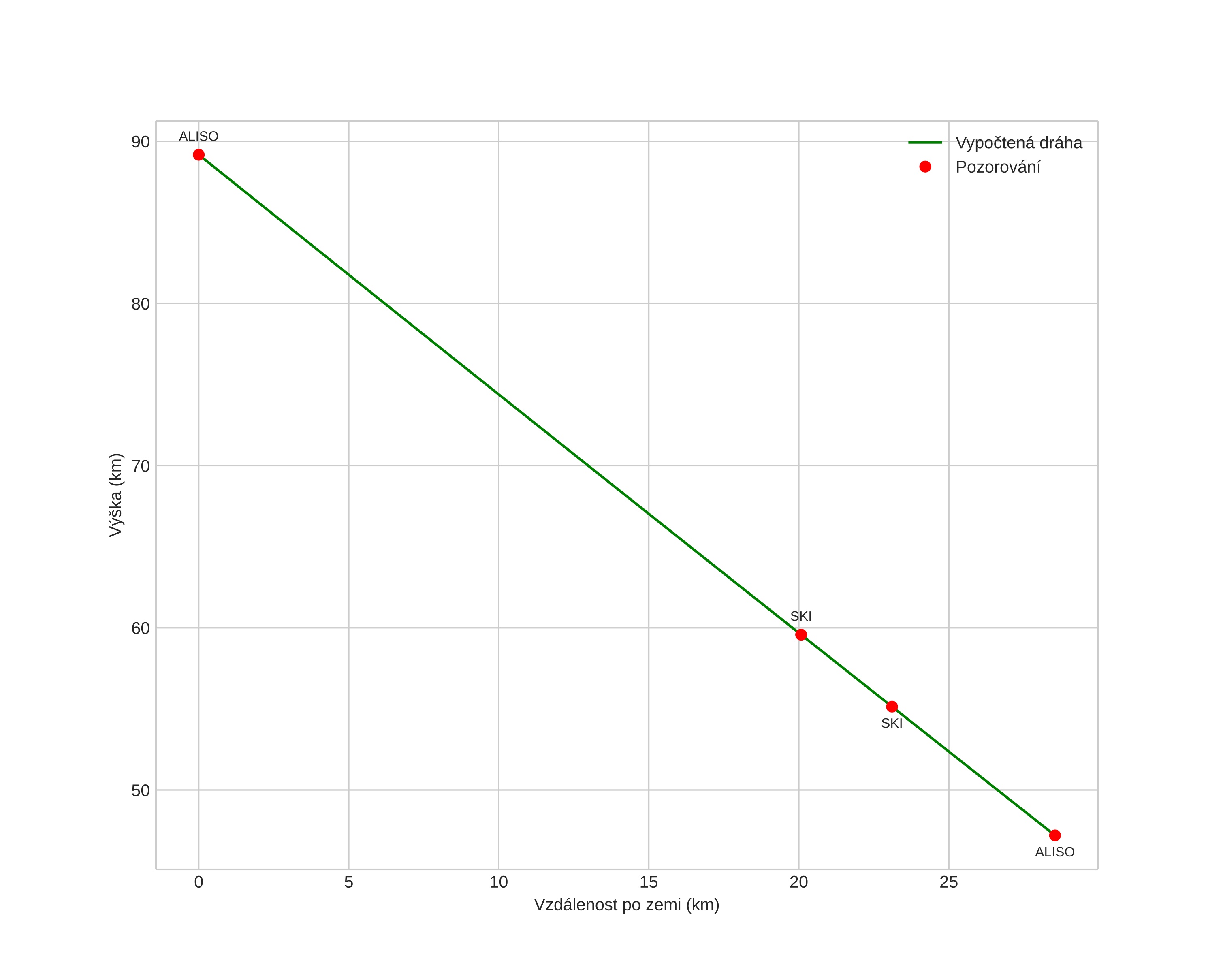
height profile
Atmosférická dráha meteoru:
Počáteční výška: 89,5 km
Konečná výška: 47,0 km
Počáteční poloha: 67,959N 19,956E
Konečná poloha: 68,189N 19,668E
Směr: 335,0°
Sklon: 56,4°
VstupnĂ­ rychlost: 22,7 km/s
Rektascenze radiantu: 08:59 (135,0°)
Deklinace radiantu: 33,5°
MeteorickĂ˝ roj: sporadickĂ˝
Elementy dráhy meteoroidu:
Vzdálenost v periheliu: 0,934 AU
Excentricita: 1,356
Sklon dráhy: 7,0°
Délka vzestupného uzlu: 355,9°
Argument perihelia: 206,7°
Střední anomálie: -3,9°
Epocha: 2022 MAR 16 18:57:40
orbit plot

NeinteraktivnĂ­ graf | InteraktivnĂ­ graf

position vs time
speed and acceleration