🇳🇴 🇬🇧 🇩🇪 🇨🇿 🇫🇮

Meteor Kirunan yllä 2022-03-16 18:57:40 UTC

KML-tiedosto  |  Interaktiivinen kartta

Kartta näyttää meteorin suuntahavainnot. Vaaleammat viivat näyttävät suunnat havaintoasemilta meteorin ilmestyessä, ja tummemmat viivat näyttävät, missä se viimeksi nähtiin. Sininen nuoli näyttää meteorin näkyvän lennon.

static map
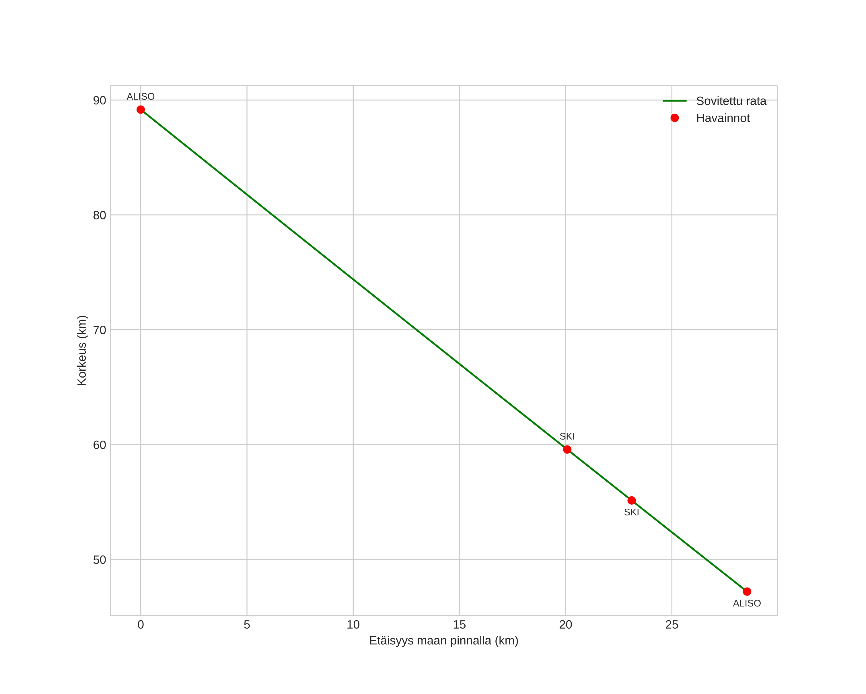
height profile
Meteorin ilmakehärata:
Alkukorkeus: 89,5 km
Loppukorkeus: 47,0 km
Alkupiste: 67,959N 19,956E
Loppupiste: 68,189N 19,668E
Suunta: 335,0°
Kallistuskulma: 56,4°
Tulonopeus: 22,7 km/s
Radiantin R,A,: 08:59 (135,0°)
Radiantin Dekl,: 33,5°
Meteoriparvi: Sporadinen
Meteoroidin rataelementit:
Perihelietäisyys: 0,934 AU
Eksentrisyys: 1,356
Inklinaatio: 7,0°
Nousevan solmun pituus: 355,9°
Perihelin argumentti: 206,7°
Keskianomalia: -3,9°
Epookki: 2022 MAR 16 18:57:40
orbit plot

Ei-interaktiivinen kuvaaja | Interaktiivinen kuvaaja

position vs time
speed and acceleration