🇳🇴 🇬🇧 🇩🇪 🇨🇿 🇫🇮

Meteor, poloha: Grenaa 2022-03-20 02:19:28 UTC

Soubor KML  |  InteraktivnĂ­ mapa

Mapa zobrazuje dráhy meteoru. Světlejší čáry ukazují směry od pozorovacích stanic při objevení se meteoru a tmavší čáry, kde byl naposledy viděn. Modrá šipka značí viditelnou dráhu meteoru.

static map
height profile
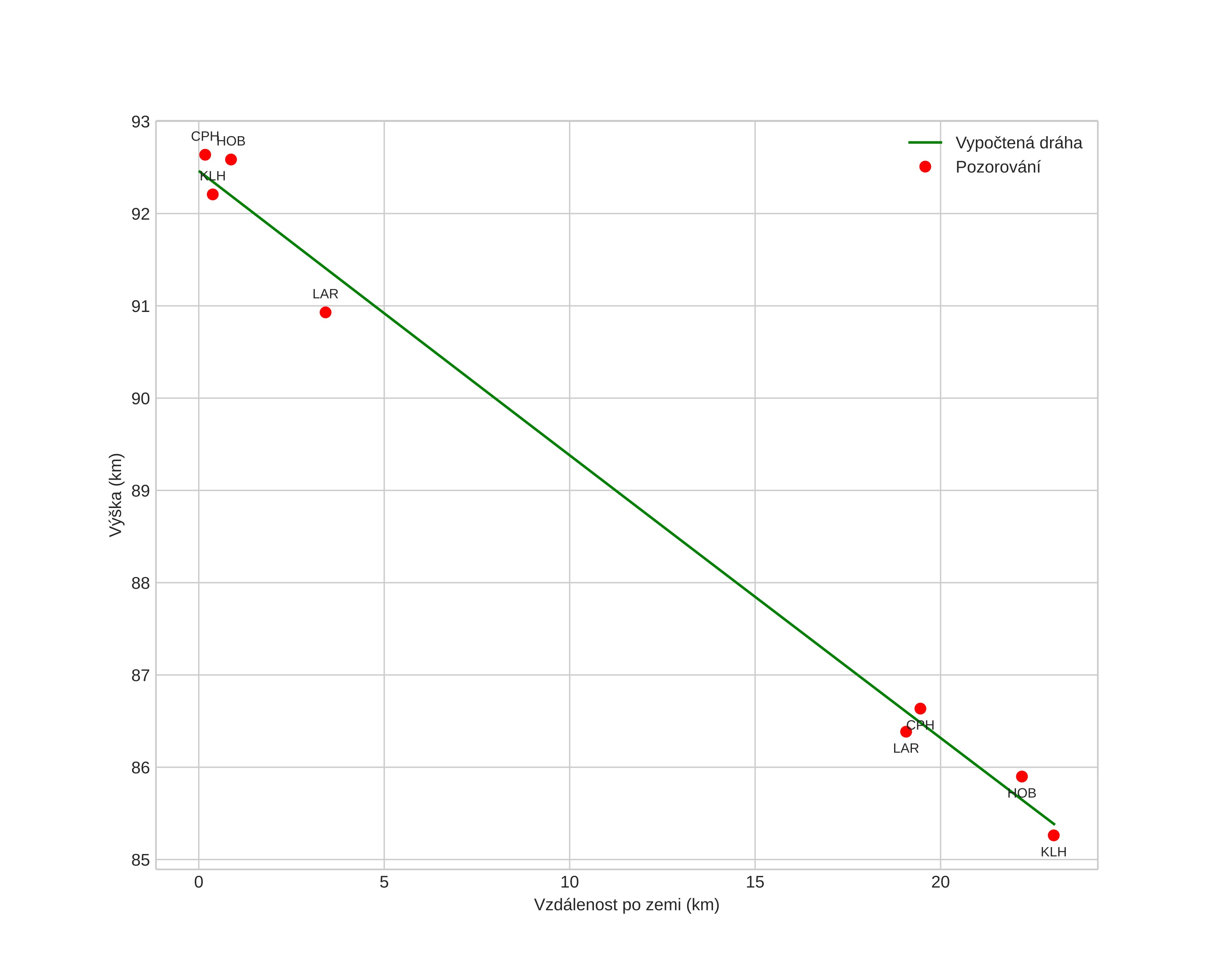
Atmosférická dráha meteoru:
Počáteční výška: 92,5 km
Konečná výška: 85,4 km
Počáteční poloha: 56,418N 11,155E
Konečná poloha: 56,613N 11,287E
Směr: 20,4°
Sklon: 17,1°
VstupnĂ­ rychlost: 37,3 km/s
Rektascenze radiantu: 13:29 (202,3°)
Deklinace radiantu: -16,3°
MeteorickĂ˝ roj: sporadickĂ˝
Elementy dráhy meteoroidu:
Vzdálenost v periheliu: 0,115 AU
Excentricita: 0,919
Sklon dráhy: 16,5°
Délka vzestupného uzlu: 179,2°
Argument perihelia: 147,8°
Střední anomálie: 338,8°
Epocha: 2022 MAR 20 02:19:28
orbit plot

NeinteraktivnĂ­ graf | InteraktivnĂ­ graf

position vs time
speed and acceleration