🇳🇴 🇬🇧 🇩🇪 🇨🇿 🇫🇮

Meteor Grenaan yllä 2022-03-20 02:19:28 UTC

KML-tiedosto  |  Interaktiivinen kartta

Kartta näyttää meteorin suuntahavainnot. Vaaleammat viivat näyttävät suunnat havaintoasemilta meteorin ilmestyessä, ja tummemmat viivat näyttävät, missä se viimeksi nähtiin. Sininen nuoli näyttää meteorin näkyvän lennon.

static map
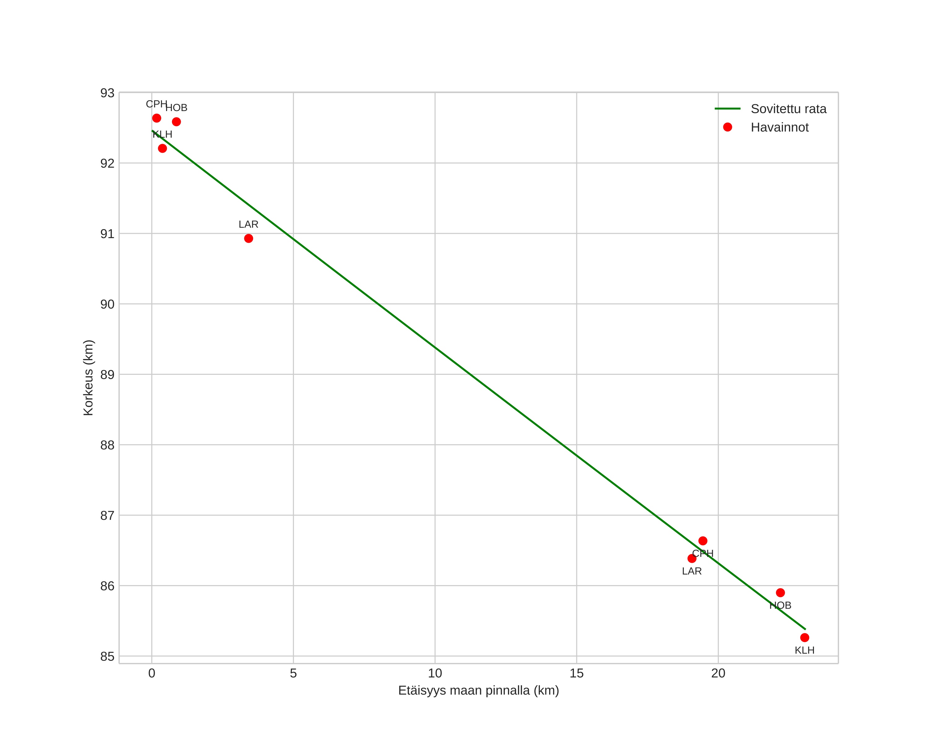
height profile
Meteorin ilmakehärata:
Alkukorkeus: 92,5 km
Loppukorkeus: 85,4 km
Alkupiste: 56,418N 11,155E
Loppupiste: 56,613N 11,287E
Suunta: 20,4°
Kallistuskulma: 17,1°
Tulonopeus: 37,3 km/s
Radiantin R,A,: 13:29 (202,3°)
Radiantin Dekl,: -16,3°
Meteoriparvi: Sporadinen
Meteoroidin rataelementit:
Perihelietäisyys: 0,115 AU
Eksentrisyys: 0,919
Inklinaatio: 16,5°
Nousevan solmun pituus: 179,2°
Perihelin argumentti: 147,8°
Keskianomalia: 338,8°
Epookki: 2022 MAR 20 02:19:28
orbit plot

Ei-interaktiivinen kuvaaja | Interaktiivinen kuvaaja

position vs time
speed and acceleration