🇳🇴 🇬🇧 🇩🇪 🇨🇿 🇫🇮

Meteor, poloha: Innbygda 2022-03-20 23:34:38 UTC

Soubor KML  |  InteraktivnĂ­ mapa

Mapa zobrazuje dráhy meteoru. Světlejší čáry ukazují směry od pozorovacích stanic při objevení se meteoru a tmavší čáry, kde byl naposledy viděn. Modrá šipka značí viditelnou dráhu meteoru.

static map
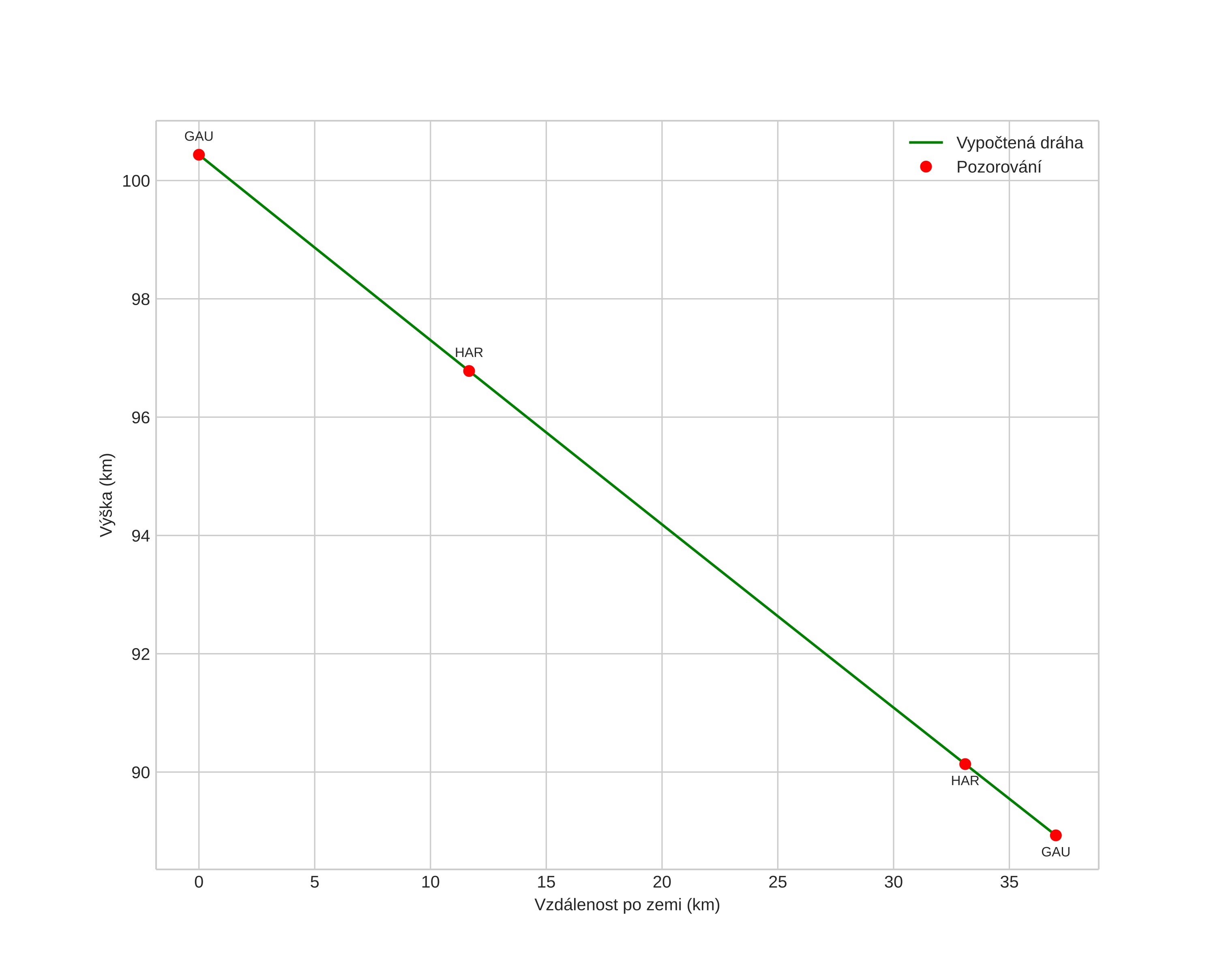
height profile
Atmosférická dráha meteoru:
Počáteční výška: 101,0 km
Konečná výška: 89,7 km
Počáteční poloha: 61,474N 13,191E
Konečná poloha: 61,807N 12,990E
Směr: 344,1°
Sklon: 16,4°
VstupnĂ­ rychlost: 40,8 km/s
Rektascenze radiantu: 13:21 (200,4°)
Deklinace radiantu: -12,7°
MeteorickĂ˝ roj: sporadickĂ˝
Elementy dráhy meteoroidu:
Vzdálenost v periheliu: 0,120 AU
Excentricita: 0,956
Sklon dráhy: 10,2°
Délka vzestupného uzlu: 180,0°
Argument perihelia: 143,0°
Střední anomálie: 352,7°
Epocha: 2022 MAR 20 23:34:38
orbit plot

NeinteraktivnĂ­ graf | InteraktivnĂ­ graf

position vs time
speed and acceleration