🇳🇴 🇬🇧 🇩🇪 🇨🇿 🇫🇮

Meteor Innbygdan yllä 2022-03-20 23:34:38 UTC

KML-tiedosto  |  Interaktiivinen kartta

Kartta näyttää meteorin suuntahavainnot. Vaaleammat viivat näyttävät suunnat havaintoasemilta meteorin ilmestyessä, ja tummemmat viivat näyttävät, missä se viimeksi nähtiin. Sininen nuoli näyttää meteorin näkyvän lennon.

static map
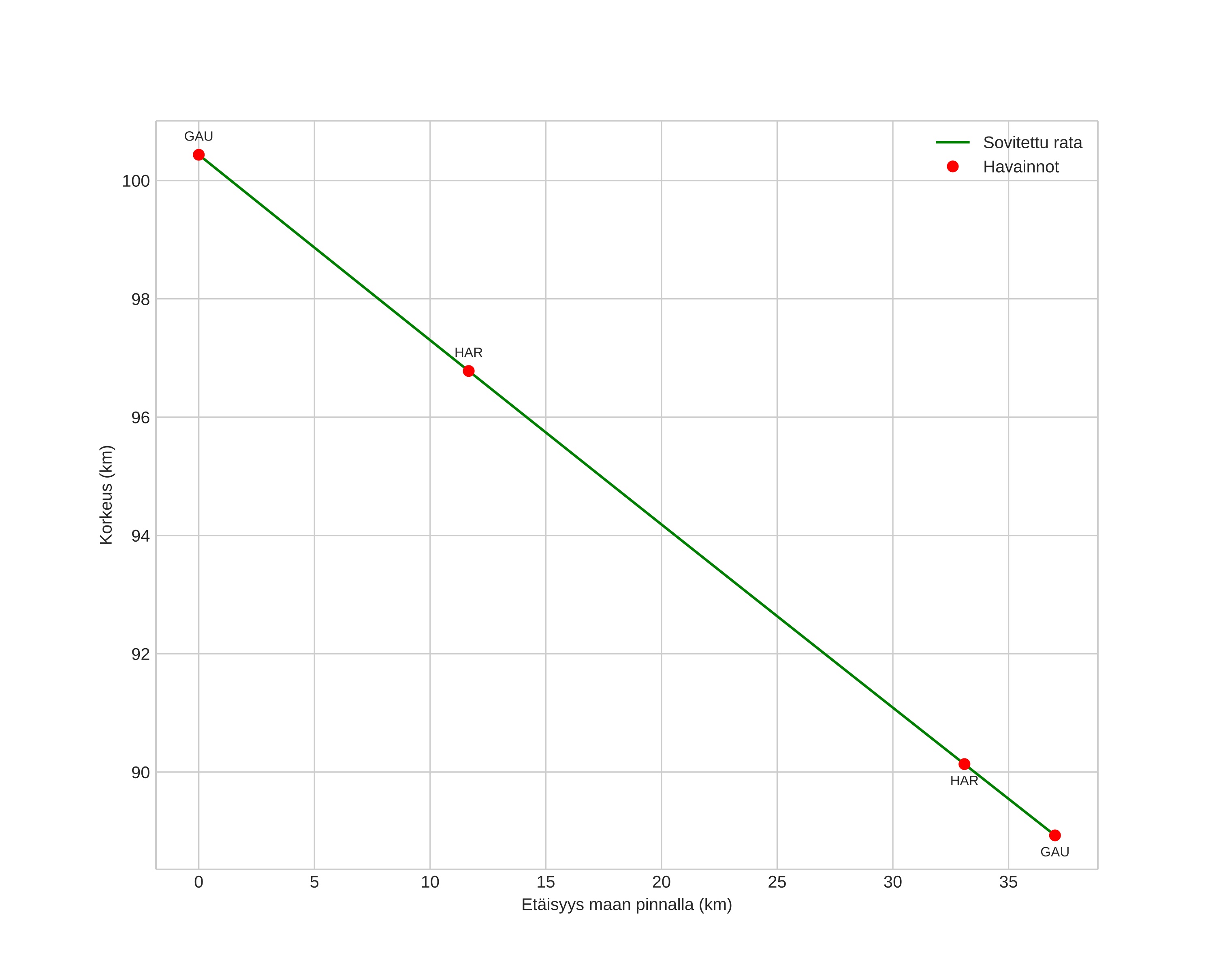
height profile
Meteorin ilmakehärata:
Alkukorkeus: 101,0 km
Loppukorkeus: 89,7 km
Alkupiste: 61,474N 13,191E
Loppupiste: 61,807N 12,990E
Suunta: 344,1°
Kallistuskulma: 16,4°
Tulonopeus: 40,8 km/s
Radiantin R,A,: 13:21 (200,4°)
Radiantin Dekl,: -12,7°
Meteoriparvi: Sporadinen
Meteoroidin rataelementit:
Perihelietäisyys: 0,120 AU
Eksentrisyys: 0,956
Inklinaatio: 10,2°
Nousevan solmun pituus: 180,0°
Perihelin argumentti: 143,0°
Keskianomalia: 352,7°
Epookki: 2022 MAR 20 23:34:38
orbit plot

Ei-interaktiivinen kuvaaja | Interaktiivinen kuvaaja

position vs time
speed and acceleration