🇳🇴 🇬🇧 🇩🇪 🇨🇿 🇫🇮

Meteor, poloha: Engerdal 2022-03-20 23:34:39 UTC

Soubor KML  |  InteraktivnĂ­ mapa

Mapa zobrazuje dráhy meteoru. Světlejší čáry ukazují směry od pozorovacích stanic při objevení se meteoru a tmavší čáry, kde byl naposledy viděn. Modrá šipka značí viditelnou dráhu meteoru.

static map
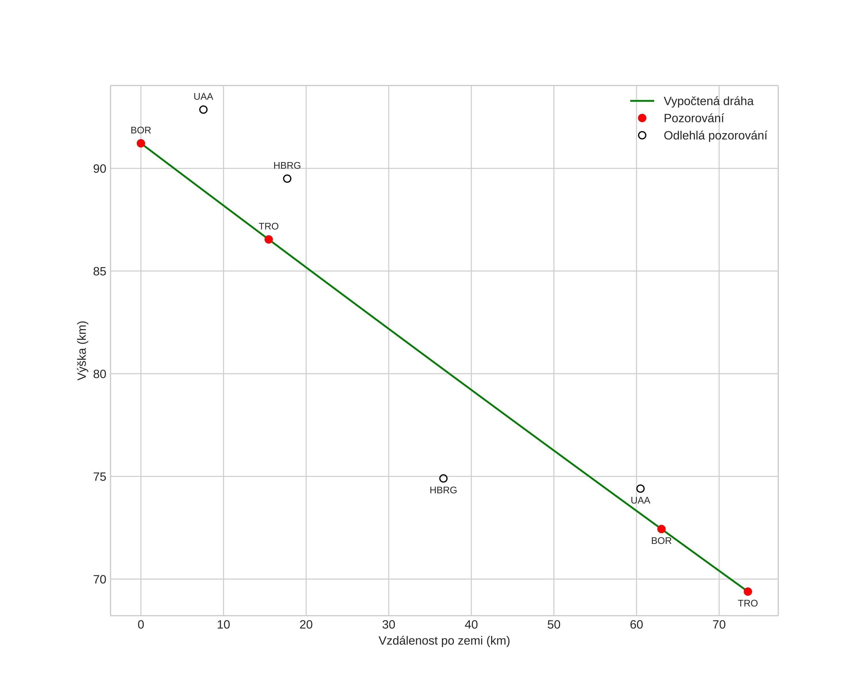
height profile
Atmosférická dráha meteoru:
Počáteční výška: 90,9 km
Konečná výška: 69,2 km
Počáteční poloha: 61,605N 13,022E
Konečná poloha: 62,233N 12,558E
Směr: 341,0°
Sklon: 16,4°
VstupnĂ­ rychlost: 40,0 km/s
Rektascenze radiantu: 13:33 (203,3°)
Deklinace radiantu: -12,2°
MeteorickĂ˝ roj: sporadickĂ˝
Elementy dráhy meteoroidu:
Vzdálenost v periheliu: 0,100 AU
Excentricita: 0,949
Sklon dráhy: 6,7°
Délka vzestupného uzlu: 180,0°
Argument perihelia: 148,0°
Střední anomálie: 347,8°
Epocha: 2022 MAR 20 23:34:39
orbit plot

NeinteraktivnĂ­ graf | InteraktivnĂ­ graf

position vs time
speed and acceleration