🇳🇴 🇬🇧 🇩🇪 🇨🇿 🇫🇮

Meteor Engerdalin yllä 2022-03-20 23:34:39 UTC

KML-tiedosto  |  Interaktiivinen kartta

Kartta näyttää meteorin suuntahavainnot. Vaaleammat viivat näyttävät suunnat havaintoasemilta meteorin ilmestyessä, ja tummemmat viivat näyttävät, missä se viimeksi nähtiin. Sininen nuoli näyttää meteorin näkyvän lennon.

static map
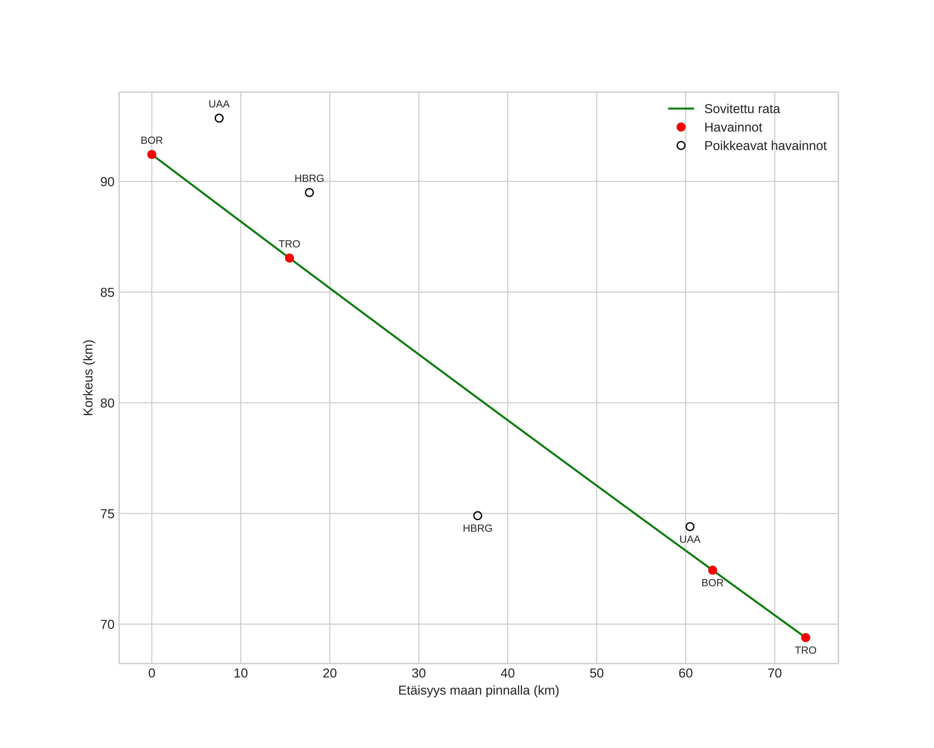
height profile
Meteorin ilmakehärata:
Alkukorkeus: 90,9 km
Loppukorkeus: 69,2 km
Alkupiste: 61,605N 13,022E
Loppupiste: 62,233N 12,558E
Suunta: 341,0°
Kallistuskulma: 16,4°
Tulonopeus: 40,0 km/s
Radiantin R,A,: 13:33 (203,3°)
Radiantin Dekl,: -12,2°
Meteoriparvi: Sporadinen
Meteoroidin rataelementit:
Perihelietäisyys: 0,100 AU
Eksentrisyys: 0,949
Inklinaatio: 6,7°
Nousevan solmun pituus: 180,0°
Perihelin argumentti: 148,0°
Keskianomalia: 347,8°
Epookki: 2022 MAR 20 23:34:39
orbit plot

Ei-interaktiivinen kuvaaja | Interaktiivinen kuvaaja

position vs time
speed and acceleration