🇳🇴 🇬🇧 🇩🇪 🇨🇿 🇫🇮

Meteor, poloha: Kiruna 2022-03-21 02:42:52 UTC

Soubor KML  |  InteraktivnĂ­ mapa

Mapa zobrazuje dráhy meteoru. Světlejší čáry ukazují směry od pozorovacích stanic při objevení se meteoru a tmavší čáry, kde byl naposledy viděn. Modrá šipka značí viditelnou dráhu meteoru.

static map
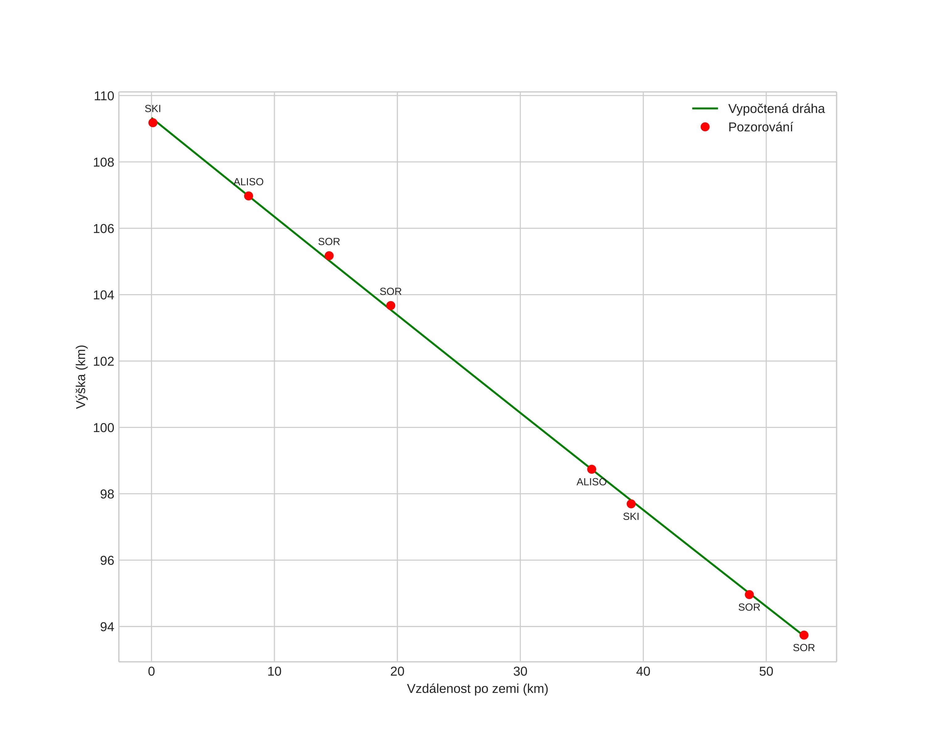
height profile
Atmosférická dráha meteoru:
Počáteční výška: 108,7 km
Konečná výška: 93,6 km
Počáteční poloha: 68,030N 19,396E
Konečná poloha: 68,261N 20,453E
Směr: 59,1°
Sklon: 16,6°
VstupnĂ­ rychlost: 31,6 km/s
Rektascenze radiantu: 12:06 (181,7°)
Deklinace radiantu: 2,1°
MeteorickĂ˝ roj: sporadickĂ˝
Elementy dráhy meteoroidu:
Vzdálenost v periheliu: 0,498 AU
Excentricita: 0,971
Sklon dráhy: 2,6°
Délka vzestupného uzlu: 0,2°
Argument perihelia: 270,8°
Střední anomálie: 359,4°
Epocha: 2022 MAR 21 02:42:52
orbit plot

NeinteraktivnĂ­ graf | InteraktivnĂ­ graf

position vs time
speed and acceleration