🇳🇴 🇬🇧 🇩🇪 🇨🇿 🇫🇮

Meteor Kirunan yllä 2022-03-21 02:42:52 UTC

KML-tiedosto  |  Interaktiivinen kartta

Kartta näyttää meteorin suuntahavainnot. Vaaleammat viivat näyttävät suunnat havaintoasemilta meteorin ilmestyessä, ja tummemmat viivat näyttävät, missä se viimeksi nähtiin. Sininen nuoli näyttää meteorin näkyvän lennon.

static map
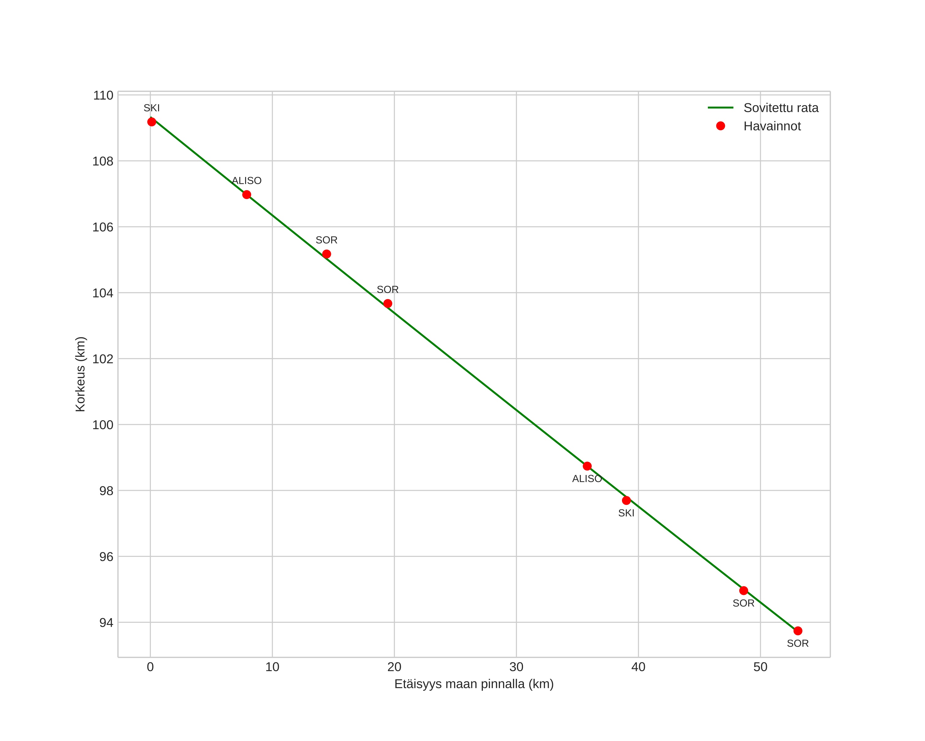
height profile
Meteorin ilmakehärata:
Alkukorkeus: 108,7 km
Loppukorkeus: 93,6 km
Alkupiste: 68,030N 19,396E
Loppupiste: 68,261N 20,453E
Suunta: 59,1°
Kallistuskulma: 16,6°
Tulonopeus: 31,6 km/s
Radiantin R,A,: 12:06 (181,7°)
Radiantin Dekl,: 2,1°
Meteoriparvi: Sporadinen
Meteoroidin rataelementit:
Perihelietäisyys: 0,498 AU
Eksentrisyys: 0,971
Inklinaatio: 2,6°
Nousevan solmun pituus: 0,2°
Perihelin argumentti: 270,8°
Keskianomalia: 359,4°
Epookki: 2022 MAR 21 02:42:52
orbit plot

Ei-interaktiivinen kuvaaja | Interaktiivinen kuvaaja

position vs time
speed and acceleration