🇳🇴 🇬🇧 🇩🇪 🇨🇿 🇫🇮

Meteor, poloha: Källby 2022-03-23 01:34:01 UTC

Soubor KML  |  InteraktivnĂ­ mapa

Mapa zobrazuje dráhy meteoru. Světlejší čáry ukazují směry od pozorovacích stanic při objevení se meteoru a tmavší čáry, kde byl naposledy viděn. Modrá šipka značí viditelnou dráhu meteoru.

static map
height profile
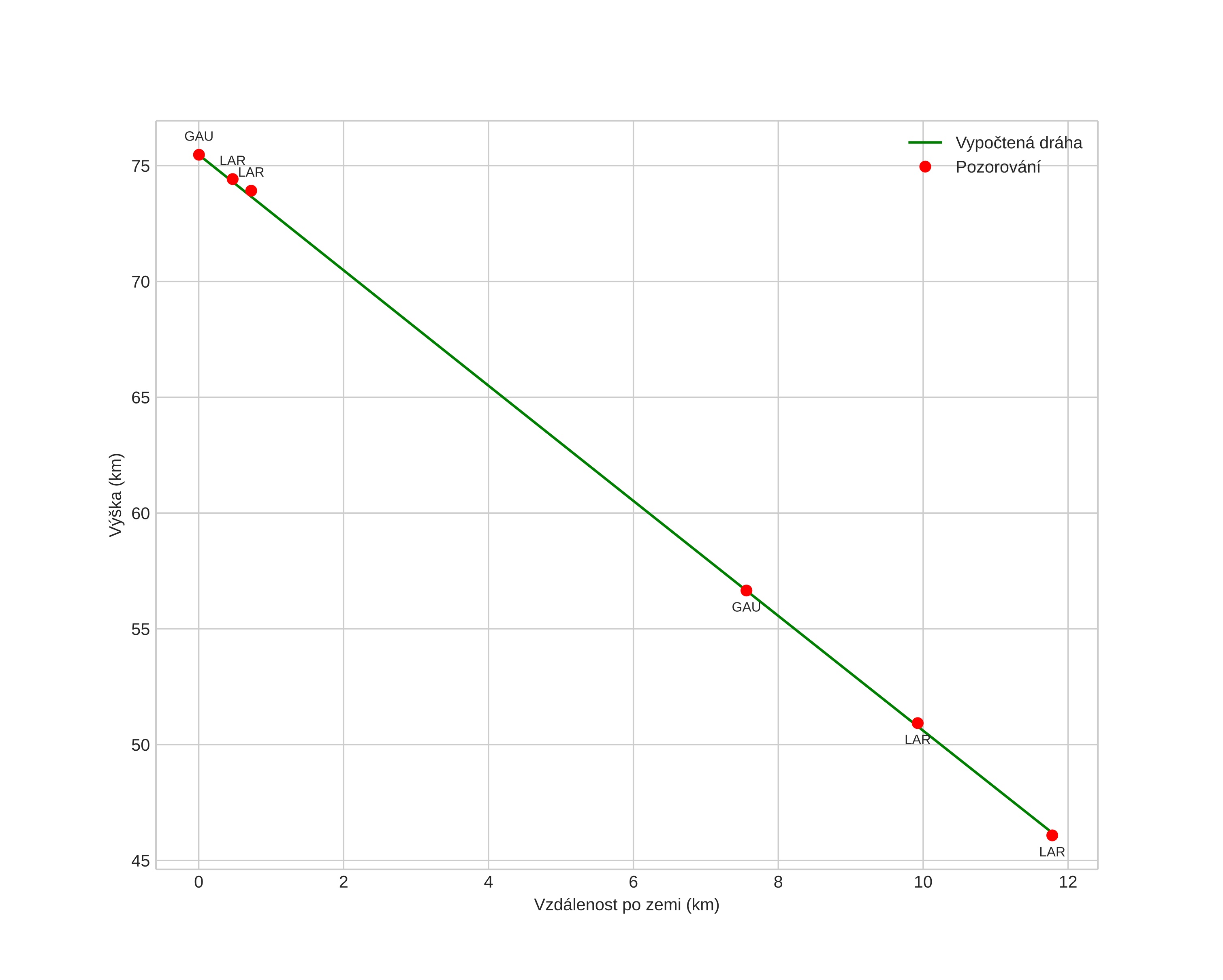
Atmosférická dráha meteoru:
Počáteční výška: 74,9 km
Konečná výška: 46,9 km
Počáteční poloha: 58,643N 13,010E
Konečná poloha: 58,615N 13,286E
Směr: 100,7°
Sklon: 59,9°
VstupnĂ­ rychlost: 14,6 km/s
Rektascenze radiantu: 10:19 (154,8°)
Deklinace radiantu: 47,3°
MeteorickĂ˝ roj: sporadickĂ˝
Elementy dráhy meteoroidu:
Vzdálenost v periheliu: 0,965 AU
Excentricita: 0,493
Sklon dráhy: 8,6°
Délka vzestupného uzlu: 2,1°
Argument perihelia: 205,3°
Střední anomálie: 352,4°
Epocha: 2022 MAR 23 01:34:01
orbit plot

NeinteraktivnĂ­ graf | InteraktivnĂ­ graf

position vs time
speed and acceleration