🇳🇴 🇬🇧 🇩🇪 🇨🇿 🇫🇮

Meteor Källbyn yllä 2022-03-23 01:34:01 UTC

KML-tiedosto  |  Interaktiivinen kartta

Kartta näyttää meteorin suuntahavainnot. Vaaleammat viivat näyttävät suunnat havaintoasemilta meteorin ilmestyessä, ja tummemmat viivat näyttävät, missä se viimeksi nähtiin. Sininen nuoli näyttää meteorin näkyvän lennon.

static map
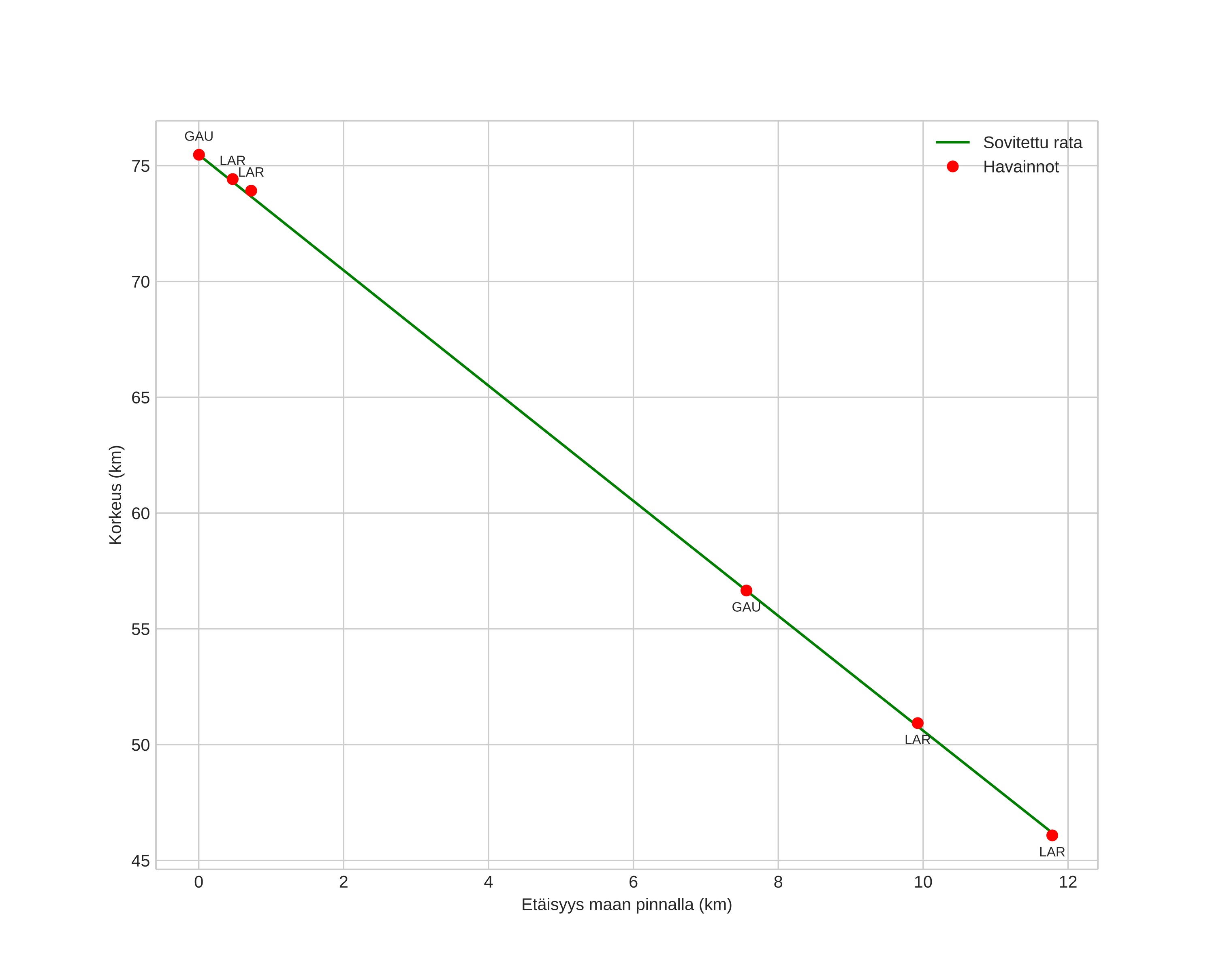
height profile
Meteorin ilmakehärata:
Alkukorkeus: 74,9 km
Loppukorkeus: 46,9 km
Alkupiste: 58,643N 13,010E
Loppupiste: 58,615N 13,286E
Suunta: 100,7°
Kallistuskulma: 59,9°
Tulonopeus: 14,6 km/s
Radiantin R,A,: 10:19 (154,8°)
Radiantin Dekl,: 47,3°
Meteoriparvi: Sporadinen
Meteoroidin rataelementit:
Perihelietäisyys: 0,965 AU
Eksentrisyys: 0,493
Inklinaatio: 8,6°
Nousevan solmun pituus: 2,1°
Perihelin argumentti: 205,3°
Keskianomalia: 352,4°
Epookki: 2022 MAR 23 01:34:01
orbit plot

Ei-interaktiivinen kuvaaja | Interaktiivinen kuvaaja

position vs time
speed and acceleration