🇳🇴 🇬🇧 🇩🇪 🇨🇿 🇫🇮

Meteor, poloha: Sunne 2022-03-23 03:31:11 UTC

Soubor KML  |  InteraktivnĂ­ mapa

Mapa zobrazuje dráhy meteoru. Světlejší čáry ukazují směry od pozorovacích stanic při objevení se meteoru a tmavší čáry, kde byl naposledy viděn. Modrá šipka značí viditelnou dráhu meteoru.

static map
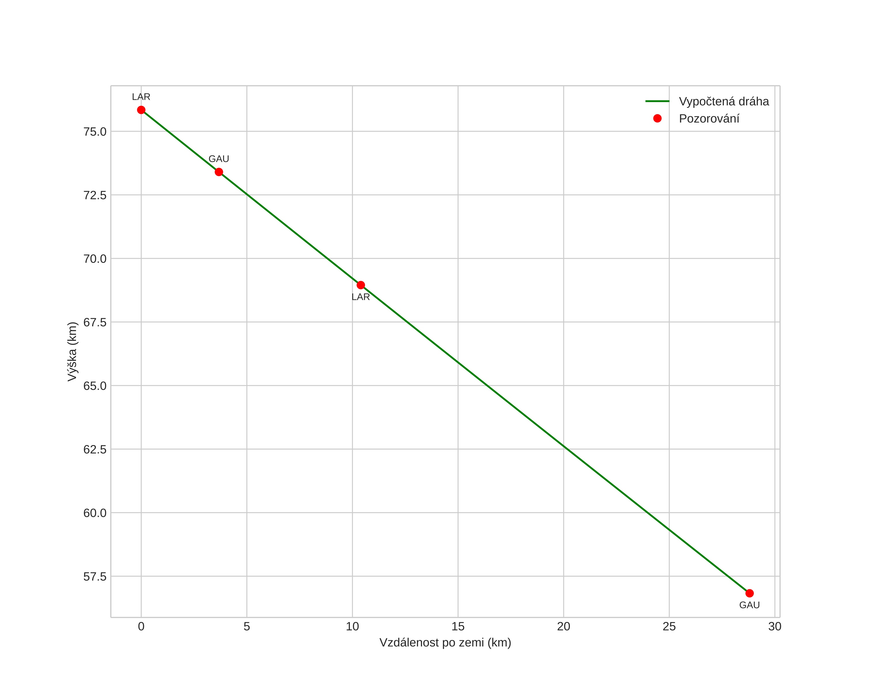
height profile
Atmosférická dráha meteoru:
Počáteční výška: 77,5 km
Konečná výška: 55,7 km
Počáteční poloha: 59,928N 12,417E
Konečná poloha: 59,898N 12,922E
Směr: 96,7°
Sklon: 37,6°
VstupnĂ­ rychlost: 16,7 km/s
Rektascenze radiantu: 11:03 (165,8°)
Deklinace radiantu: 28,2°
MeteorickĂ˝ roj: sporadickĂ˝
Elementy dráhy meteoroidu:
Vzdálenost v periheliu: 0,892 AU
Excentricita: 0,581
Sklon dráhy: 7,2°
Délka vzestupného uzlu: 2,2°
Argument perihelia: 224,4°
Střední anomálie: 349,7°
Epocha: 2022 MAR 23 03:31:11
orbit plot

NeinteraktivnĂ­ graf | InteraktivnĂ­ graf

position vs time
speed and acceleration