🇳🇴 🇬🇧 🇩🇪 🇨🇿 🇫🇮

Meteor Sunnen yllä 2022-03-23 03:31:11 UTC

KML-tiedosto  |  Interaktiivinen kartta

Kartta näyttää meteorin suuntahavainnot. Vaaleammat viivat näyttävät suunnat havaintoasemilta meteorin ilmestyessä, ja tummemmat viivat näyttävät, missä se viimeksi nähtiin. Sininen nuoli näyttää meteorin näkyvän lennon.

static map
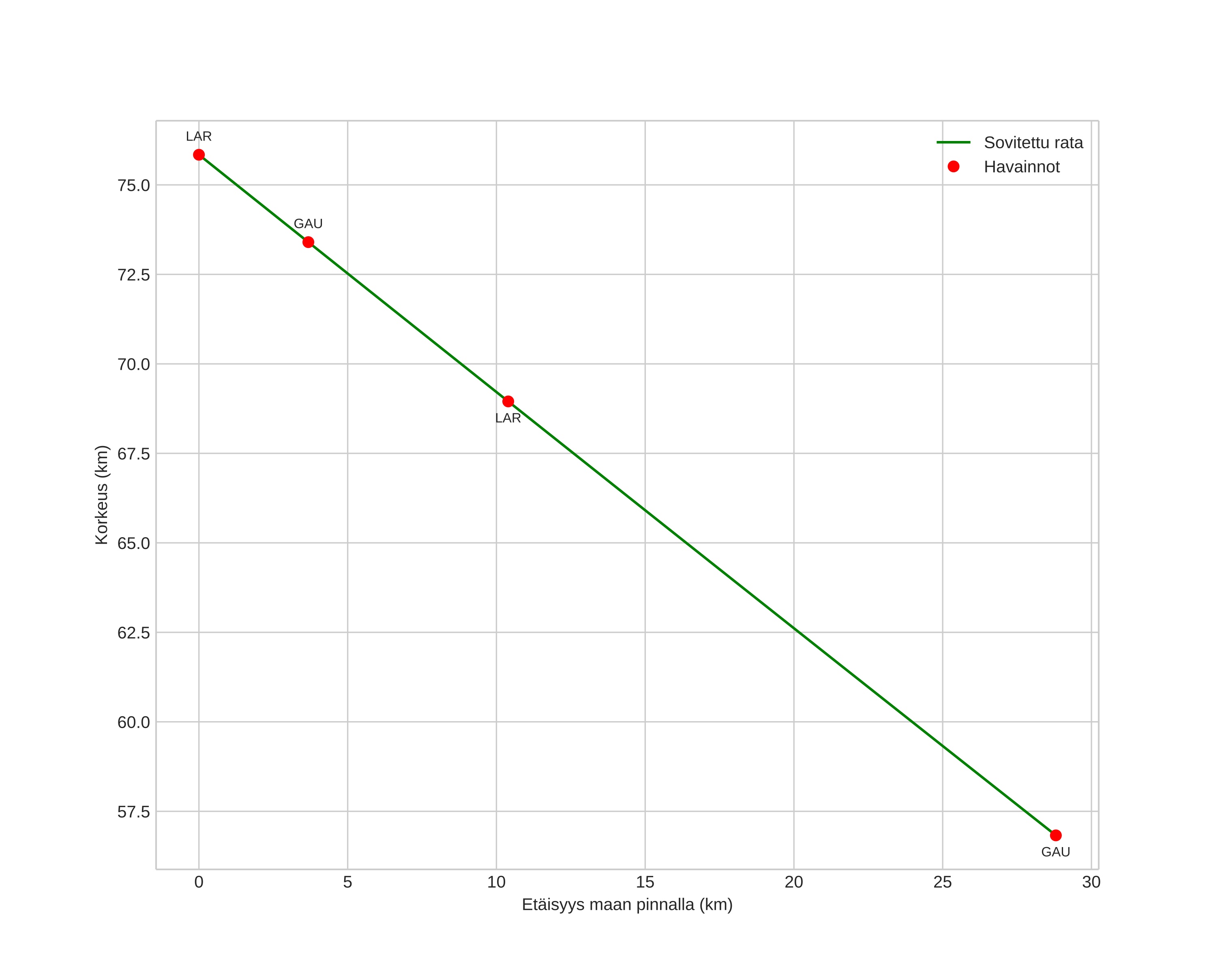
height profile
Meteorin ilmakehärata:
Alkukorkeus: 77,5 km
Loppukorkeus: 55,7 km
Alkupiste: 59,928N 12,417E
Loppupiste: 59,898N 12,922E
Suunta: 96,7°
Kallistuskulma: 37,6°
Tulonopeus: 16,7 km/s
Radiantin R,A,: 11:03 (165,8°)
Radiantin Dekl,: 28,2°
Meteoriparvi: Sporadinen
Meteoroidin rataelementit:
Perihelietäisyys: 0,892 AU
Eksentrisyys: 0,581
Inklinaatio: 7,2°
Nousevan solmun pituus: 2,2°
Perihelin argumentti: 224,4°
Keskianomalia: 349,7°
Epookki: 2022 MAR 23 03:31:11
orbit plot

Ei-interaktiivinen kuvaaja | Interaktiivinen kuvaaja

position vs time
speed and acceleration