🇳🇴 🇬🇧 🇩🇪 🇨🇿 🇫🇮

Meteor, poloha: Lena 2022-03-23 19:32:12 UTC

Soubor KML  |  InteraktivnĂ­ mapa

Mapa zobrazuje dráhy meteoru. Světlejší čáry ukazují směry od pozorovacích stanic při objevení se meteoru a tmavší čáry, kde byl naposledy viděn. Modrá šipka značí viditelnou dráhu meteoru.

static map
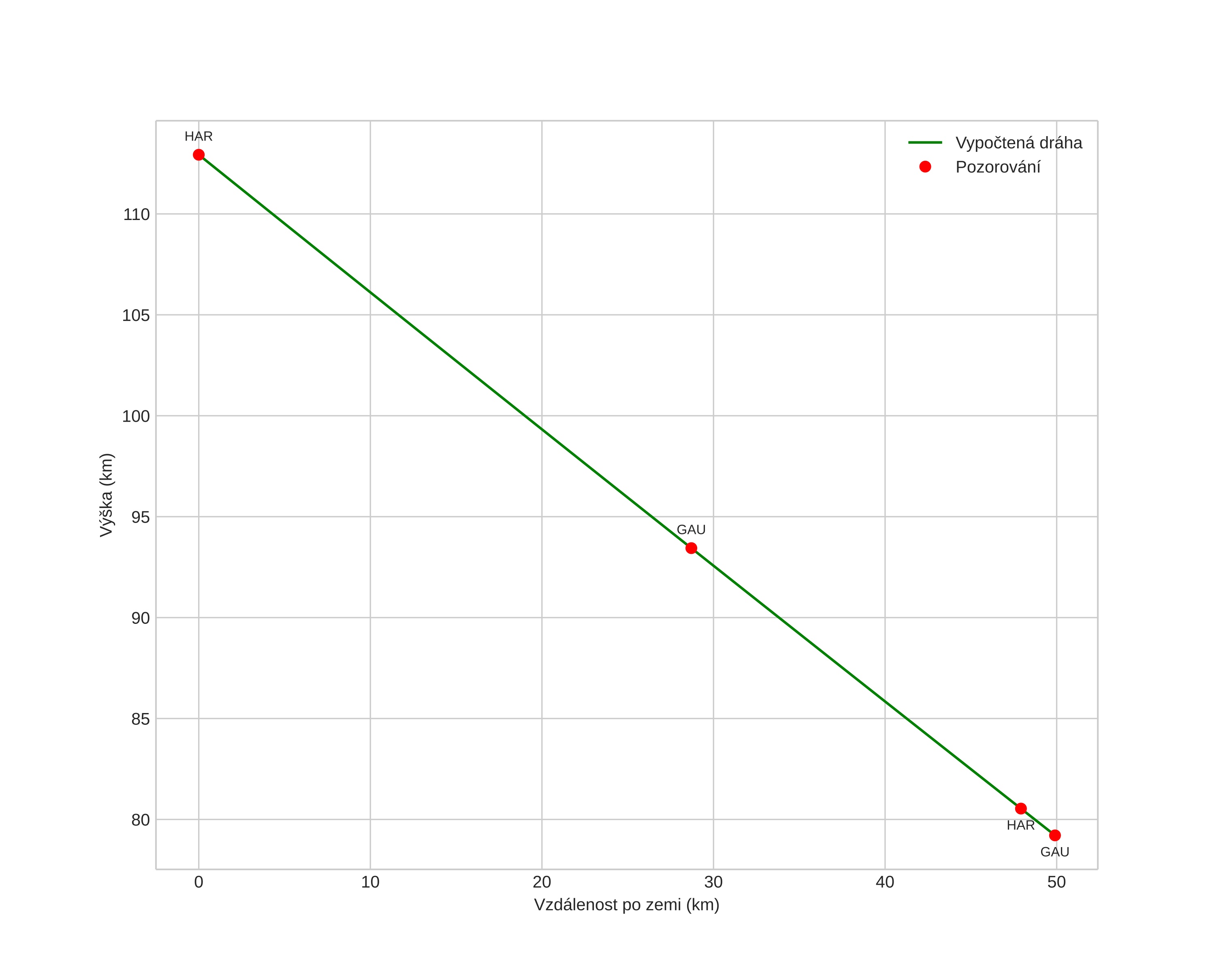
height profile
Atmosférická dráha meteoru:
Počáteční výška: 93,3 km
Konečná výška: 78,0 km
Počáteční poloha: 60,361N 11,027E
Konečná poloha: 60,509N 10,739E
Směr: 316,4°
Sklon: 33,9°
VstupnĂ­ rychlost: 19,9 km/s
Rektascenze radiantu: 10:47 (162,0°)
Deklinace radiantu: 5,5°
MeteorickĂ˝ roj: sporadickĂ˝
Elementy dráhy meteoroidu:
Vzdálenost v periheliu: 0,828 AU
Excentricita: 0,741
Sklon dráhy: 0,9°
Délka vzestupného uzlu: 182,8°
Argument perihelia: 53,0°
Střední anomálie: 354,0°
Epocha: 2022 MAR 23 19:32:12
orbit plot

NeinteraktivnĂ­ graf | InteraktivnĂ­ graf

position vs time
speed and acceleration