🇳🇴 🇬🇧 🇩🇪 🇨🇿 🇫🇮

Meteor Lenan yllä 2022-03-23 19:32:12 UTC

KML-tiedosto  |  Interaktiivinen kartta

Kartta näyttää meteorin suuntahavainnot. Vaaleammat viivat näyttävät suunnat havaintoasemilta meteorin ilmestyessä, ja tummemmat viivat näyttävät, missä se viimeksi nähtiin. Sininen nuoli näyttää meteorin näkyvän lennon.

static map
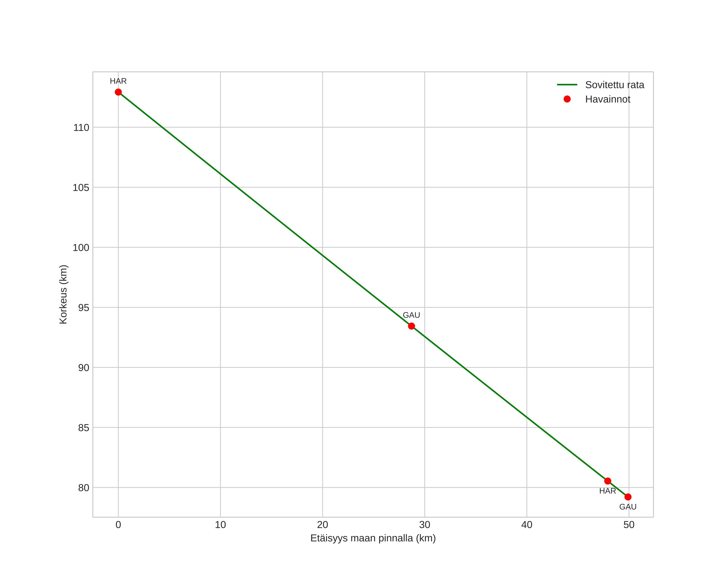
height profile
Meteorin ilmakehärata:
Alkukorkeus: 93,3 km
Loppukorkeus: 78,0 km
Alkupiste: 60,361N 11,027E
Loppupiste: 60,509N 10,739E
Suunta: 316,4°
Kallistuskulma: 33,9°
Tulonopeus: 19,9 km/s
Radiantin R,A,: 10:47 (162,0°)
Radiantin Dekl,: 5,5°
Meteoriparvi: Sporadinen
Meteoroidin rataelementit:
Perihelietäisyys: 0,828 AU
Eksentrisyys: 0,741
Inklinaatio: 0,9°
Nousevan solmun pituus: 182,8°
Perihelin argumentti: 53,0°
Keskianomalia: 354,0°
Epookki: 2022 MAR 23 19:32:12
orbit plot

Ei-interaktiivinen kuvaaja | Interaktiivinen kuvaaja

position vs time
speed and acceleration