🇳🇴 🇬🇧 🇩🇪 🇨🇿 🇫🇮

Meteor, poloha: Töreboda 2022-03-23 22:00:38 UTC

Soubor KML  |  InteraktivnĂ­ mapa

Mapa zobrazuje dráhy meteoru. Světlejší čáry ukazují směry od pozorovacích stanic při objevení se meteoru a tmavší čáry, kde byl naposledy viděn. Modrá šipka značí viditelnou dráhu meteoru.

static map
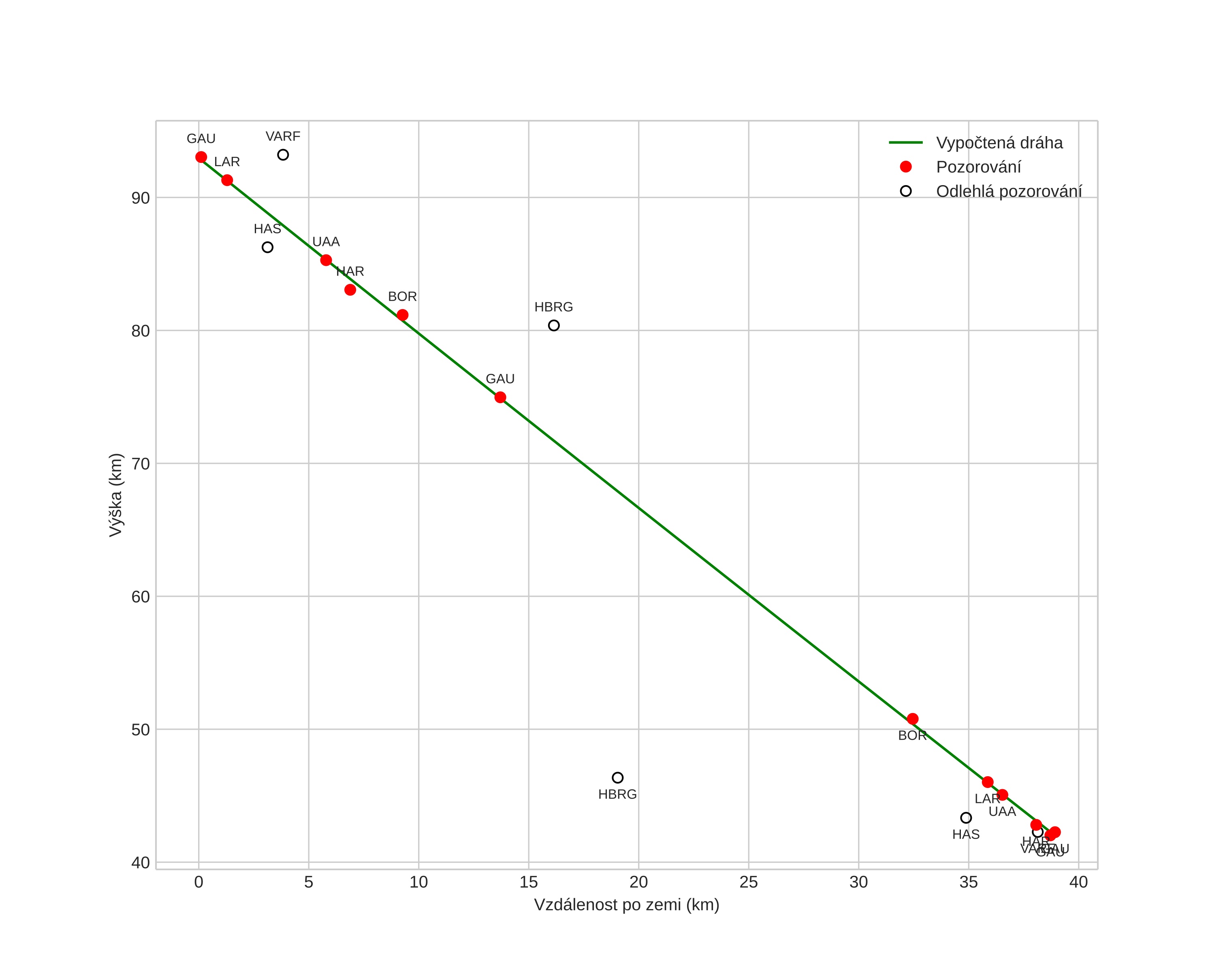
height profile
Atmosférická dráha meteoru:
Počáteční výška: 92,7 km
Konečná výška: 41,2 km
Počáteční poloha: 58,805N 14,653E
Konečná poloha: 58,611N 14,093E
Směr: 236,6°
Sklon: 52,9°
VstupnĂ­ rychlost: 27,8 km/s
Rektascenze radiantu: 16:15 (243,8°)
Deklinace radiantu: 58,2°
MeteorickĂ˝ roj: sporadickĂ˝
Elementy dráhy meteoroidu:
Vzdálenost v periheliu: 0,967 AU
Excentricita: 0,591
Sklon dráhy: 41,5°
Délka vzestupného uzlu: 2,9°
Argument perihelia: 203,0°
Střední anomálie: 355,1°
Epocha: 2022 MAR 23 22:00:38
orbit plot

NeinteraktivnĂ­ graf | InteraktivnĂ­ graf

position vs time
speed and acceleration