🇳🇴 🇬🇧 🇩🇪 🇨🇿 🇫🇮

Meteor Törebodan yllä 2022-03-23 22:00:38 UTC

KML-tiedosto  |  Interaktiivinen kartta

Kartta näyttää meteorin suuntahavainnot. Vaaleammat viivat näyttävät suunnat havaintoasemilta meteorin ilmestyessä, ja tummemmat viivat näyttävät, missä se viimeksi nähtiin. Sininen nuoli näyttää meteorin näkyvän lennon.

static map
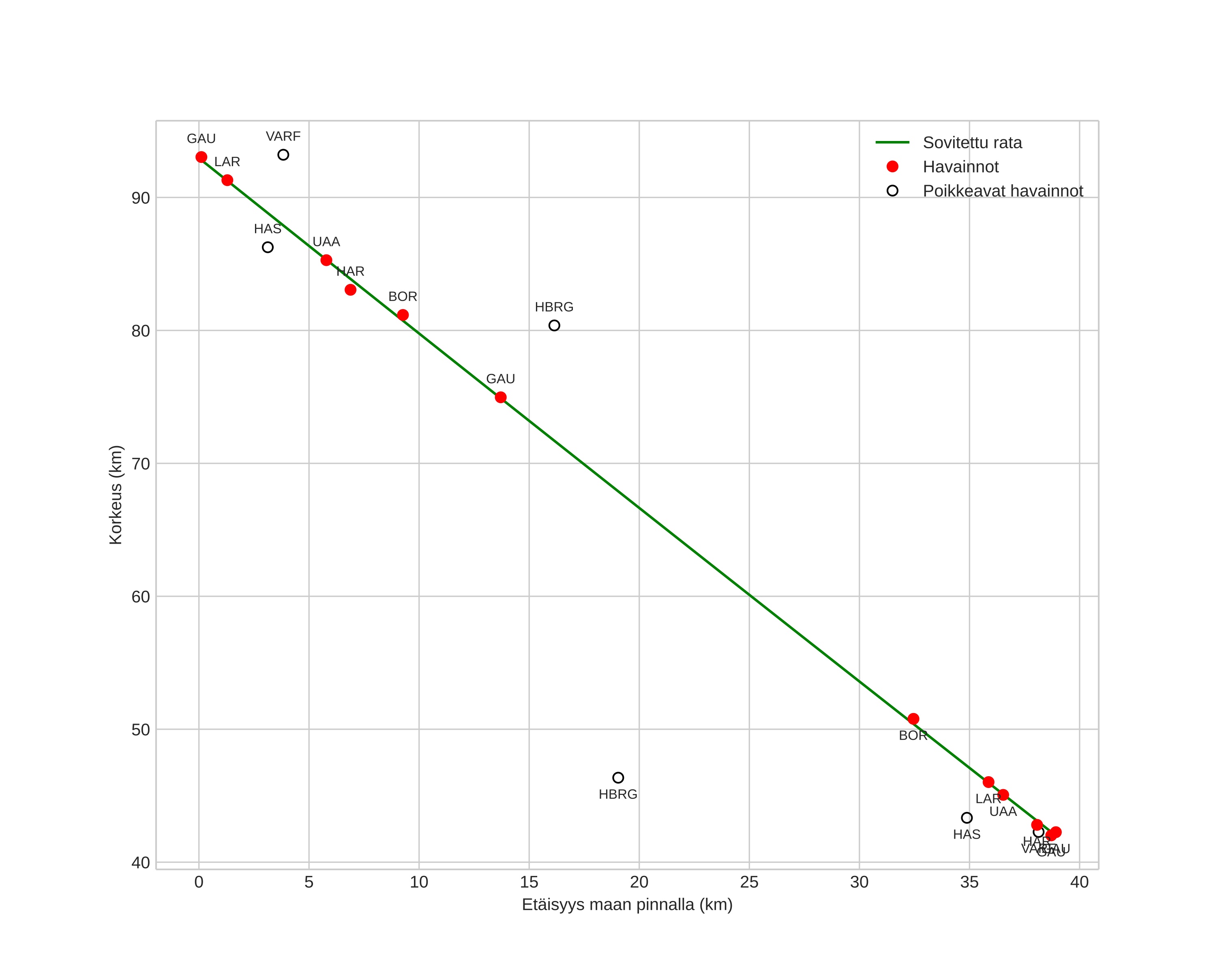
height profile
Meteorin ilmakehärata:
Alkukorkeus: 92,7 km
Loppukorkeus: 41,2 km
Alkupiste: 58,805N 14,653E
Loppupiste: 58,611N 14,093E
Suunta: 236,6°
Kallistuskulma: 52,9°
Tulonopeus: 27,8 km/s
Radiantin R,A,: 16:15 (243,8°)
Radiantin Dekl,: 58,2°
Meteoriparvi: Sporadinen
Meteoroidin rataelementit:
Perihelietäisyys: 0,967 AU
Eksentrisyys: 0,591
Inklinaatio: 41,5°
Nousevan solmun pituus: 2,9°
Perihelin argumentti: 203,0°
Keskianomalia: 355,1°
Epookki: 2022 MAR 23 22:00:38
orbit plot

Ei-interaktiivinen kuvaaja | Interaktiivinen kuvaaja

position vs time
speed and acceleration