🇳🇴 🇬🇧 🇩🇪 🇨🇿 🇫🇮

Meteor, poloha: Arvika 2022-03-25 01:23:44 UTC

Soubor KML  |  InteraktivnĂ­ mapa

Mapa zobrazuje dráhy meteoru. Světlejší čáry ukazují směry od pozorovacích stanic při objevení se meteoru a tmavší čáry, kde byl naposledy viděn. Modrá šipka značí viditelnou dráhu meteoru.

static map
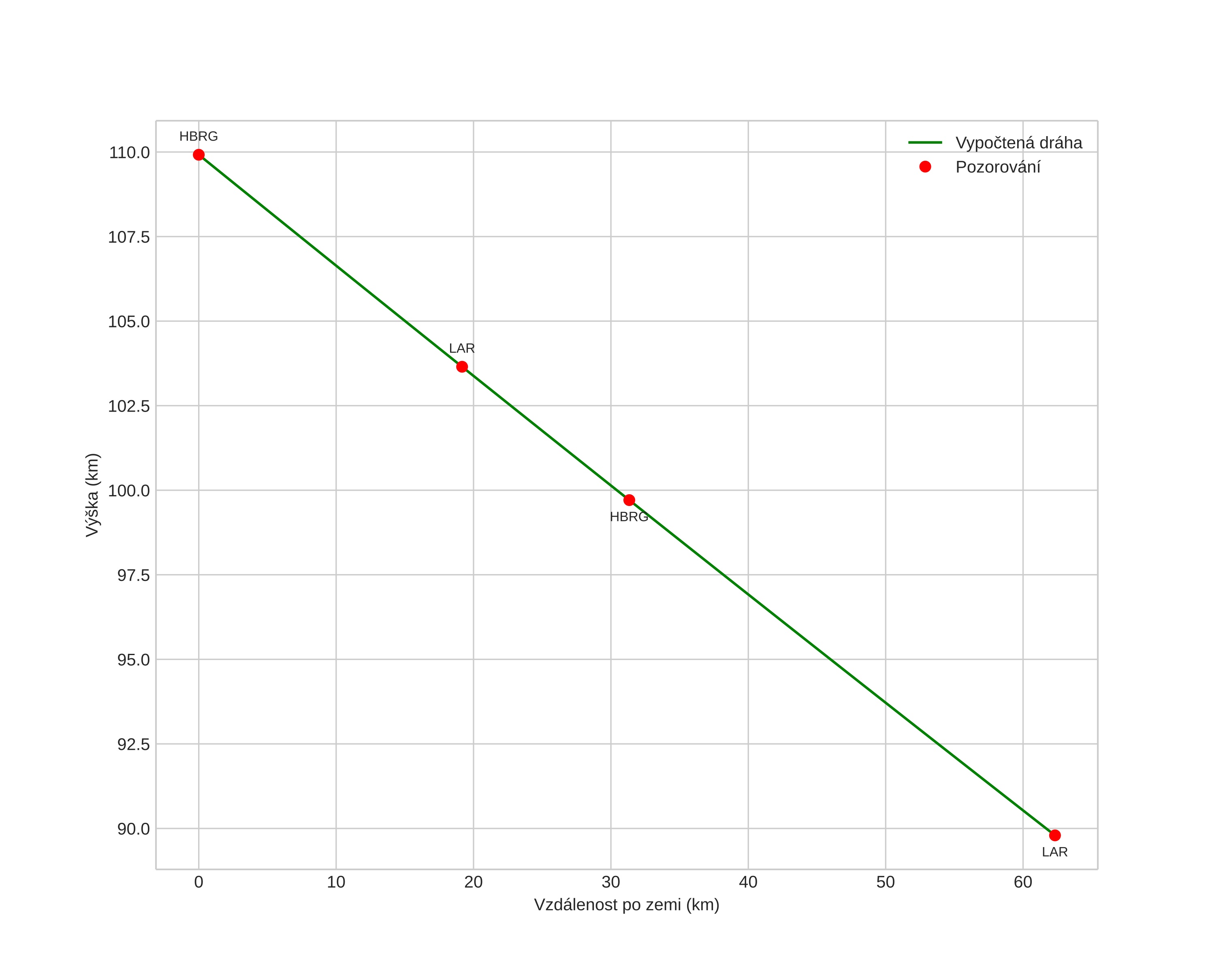
height profile
Atmosférická dráha meteoru:
Počáteční výška: 110,1 km
Konečná výška: 89,8 km
Počáteční poloha: 59,179N 13,585E
Konečná poloha: 59,415N 12,588E
Směr: 295,3°
Sklon: 18,0°
VstupnĂ­ rychlost: 73,0 km/s
Rektascenze radiantu: 18:24 (276,2°)
Deklinace radiantu: 2,8°
MeteorickĂ˝ roj: sporadickĂ˝
Elementy dráhy meteoroidu:
Vzdálenost v periheliu: 0,992 AU
Excentricita: 1,490
Sklon dráhy: 137,6°
Délka vzestupného uzlu: 4,1°
Argument perihelia: 172,5°
Střední anomálie: 1,6°
Epocha: 2022 MAR 25 01:23:44
orbit plot

NeinteraktivnĂ­ graf | InteraktivnĂ­ graf

position vs time
speed and acceleration