🇳🇴 🇬🇧 🇩🇪 🇨🇿 🇫🇮

Meteor Arvikan yllä 2022-03-25 01:23:44 UTC

KML-tiedosto  |  Interaktiivinen kartta

Kartta näyttää meteorin suuntahavainnot. Vaaleammat viivat näyttävät suunnat havaintoasemilta meteorin ilmestyessä, ja tummemmat viivat näyttävät, missä se viimeksi nähtiin. Sininen nuoli näyttää meteorin näkyvän lennon.

static map
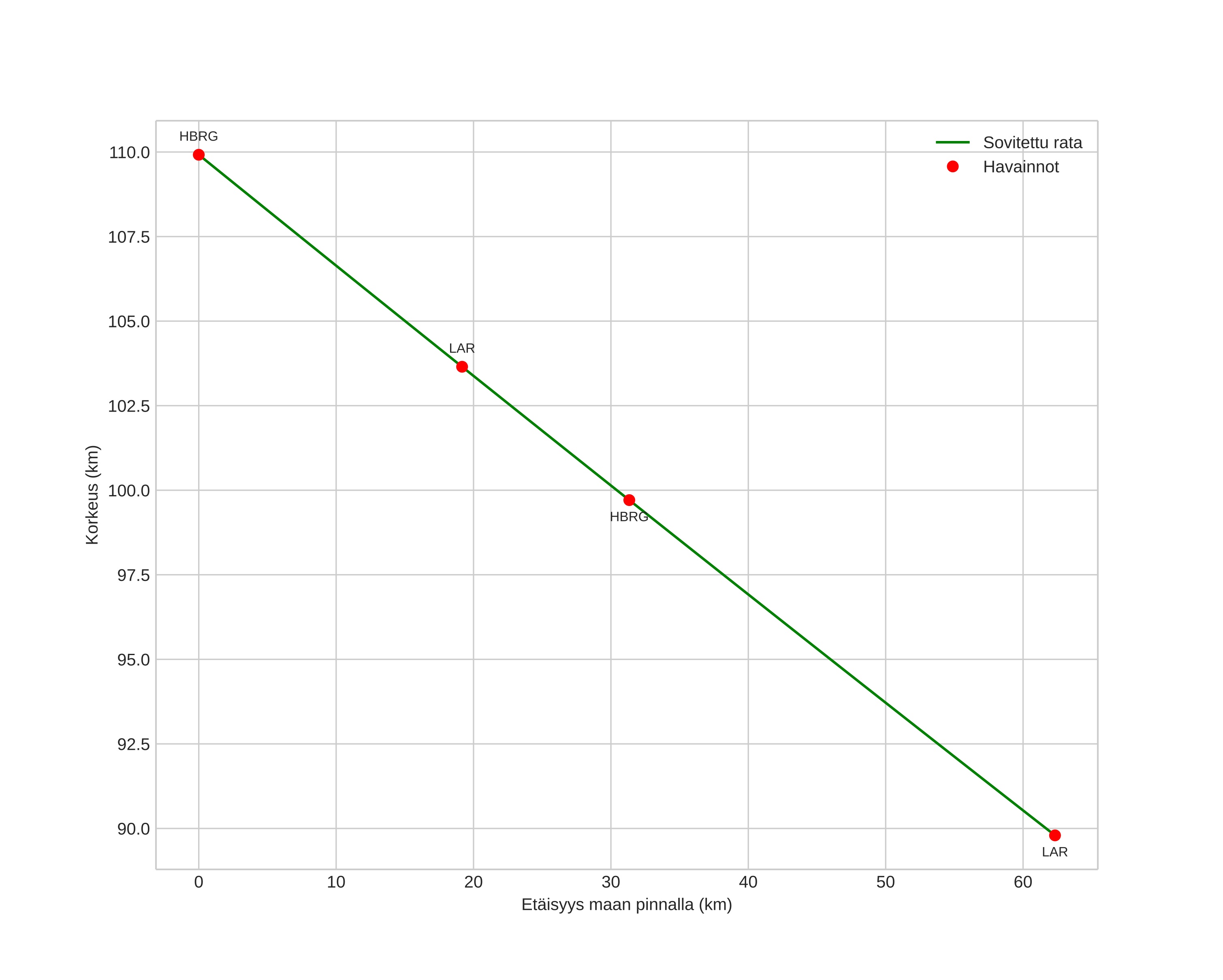
height profile
Meteorin ilmakehärata:
Alkukorkeus: 110,1 km
Loppukorkeus: 89,8 km
Alkupiste: 59,179N 13,585E
Loppupiste: 59,415N 12,588E
Suunta: 295,3°
Kallistuskulma: 18,0°
Tulonopeus: 73,0 km/s
Radiantin R,A,: 18:24 (276,2°)
Radiantin Dekl,: 2,8°
Meteoriparvi: Sporadinen
Meteoroidin rataelementit:
Perihelietäisyys: 0,992 AU
Eksentrisyys: 1,490
Inklinaatio: 137,6°
Nousevan solmun pituus: 4,1°
Perihelin argumentti: 172,5°
Keskianomalia: 1,6°
Epookki: 2022 MAR 25 01:23:44
orbit plot

Ei-interaktiivinen kuvaaja | Interaktiivinen kuvaaja

position vs time
speed and acceleration