🇳🇴 🇬🇧 🇩🇪 🇨🇿 🇫🇮

Meteor, poloha: Kiruna 2022-03-27 01:15:36 UTC

Soubor KML  |  InteraktivnĂ­ mapa

Mapa zobrazuje dráhy meteoru. Světlejší čáry ukazují směry od pozorovacích stanic při objevení se meteoru a tmavší čáry, kde byl naposledy viděn. Modrá šipka značí viditelnou dráhu meteoru.

static map
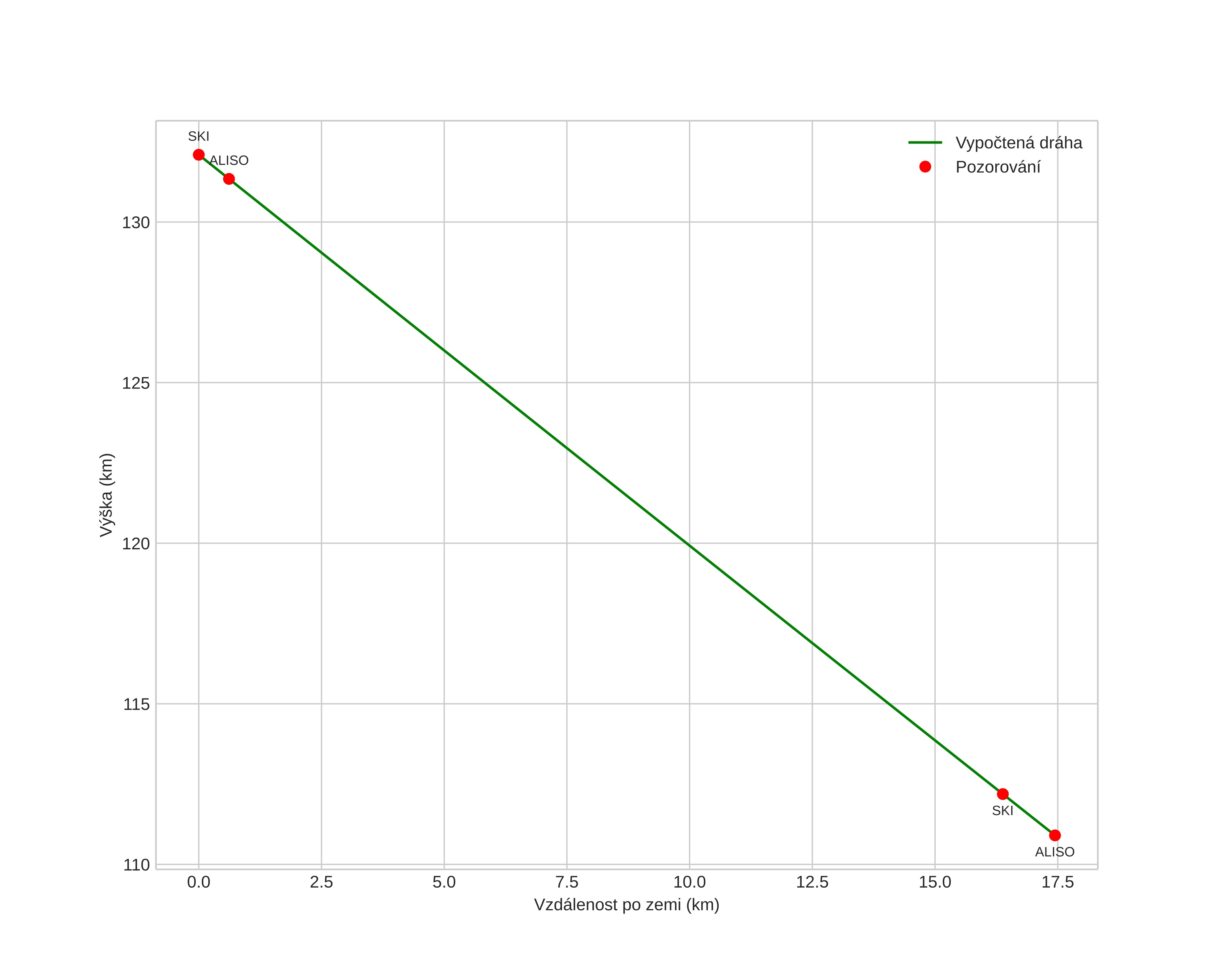
height profile
Atmosférická dráha meteoru:
Počáteční výška: 132,2 km
Konečná výška: 110,9 km
Počáteční poloha: 67,965N 21,366E
Konečná poloha: 68,079N 21,075E
Směr: 316,3°
Sklon: 50,6°
VstupnĂ­ rychlost: 73,0 km/s
Rektascenze radiantu: 17:03 (255,9°)
Deklinace radiantu: 32,7°
MeteorickĂ˝ roj: sporadickĂ˝
Elementy dráhy meteoroidu:
Vzdálenost v periheliu: 0,941 AU
Excentricita: 3,225
Sklon dráhy: 96,6°
Délka vzestupného uzlu: 6,1°
Argument perihelia: 202,3°
Střední anomálie: -37,5°
Epocha: 2022 MAR 27 01:15:36
orbit plot

NeinteraktivnĂ­ graf | InteraktivnĂ­ graf

position vs time
speed and acceleration