🇳🇴 🇬🇧 🇩🇪 🇨🇿 🇫🇮

Meteor Kirunan yllä 2022-03-27 01:15:36 UTC

KML-tiedosto  |  Interaktiivinen kartta

Kartta näyttää meteorin suuntahavainnot. Vaaleammat viivat näyttävät suunnat havaintoasemilta meteorin ilmestyessä, ja tummemmat viivat näyttävät, missä se viimeksi nähtiin. Sininen nuoli näyttää meteorin näkyvän lennon.

static map
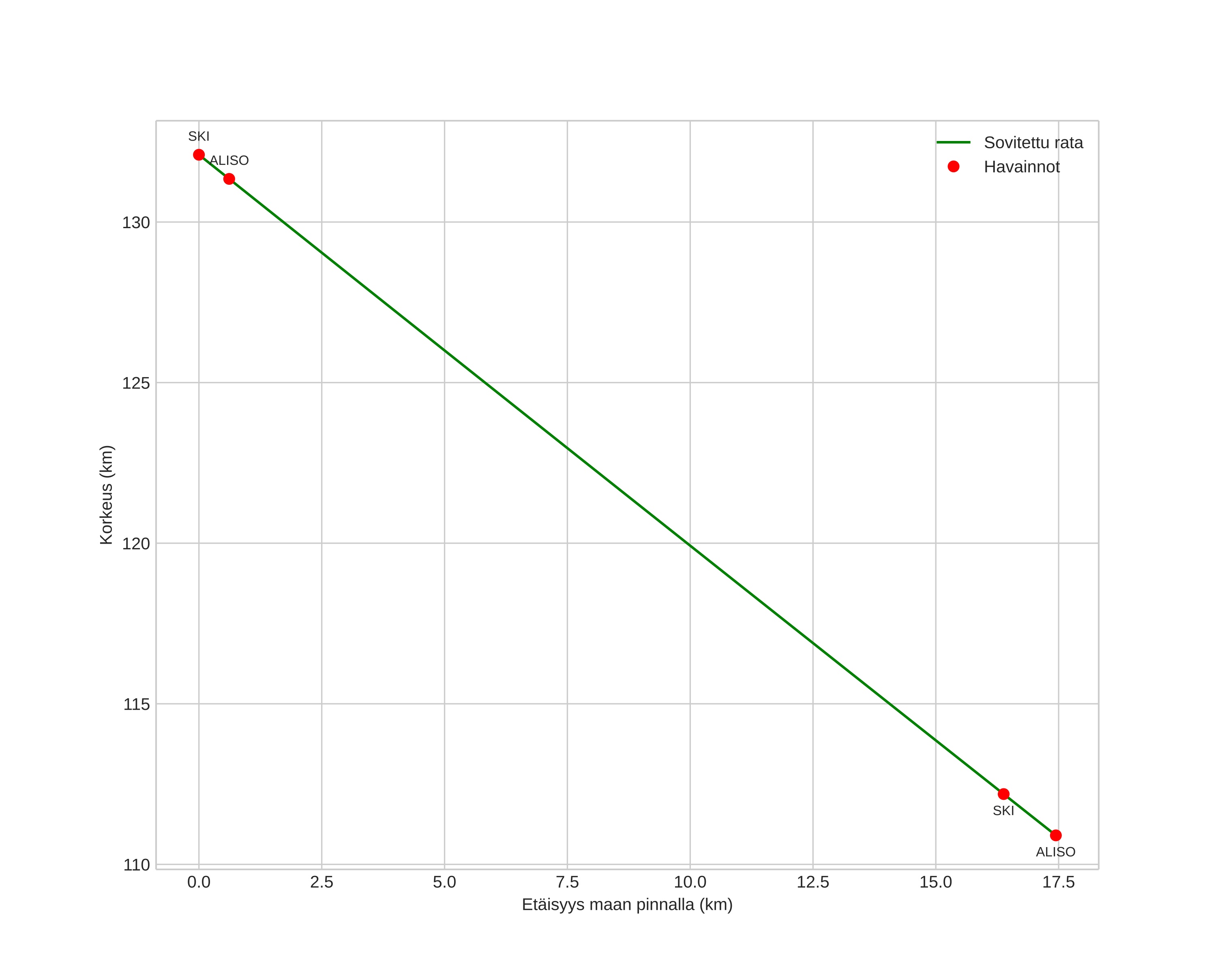
height profile
Meteorin ilmakehärata:
Alkukorkeus: 132,2 km
Loppukorkeus: 110,9 km
Alkupiste: 67,965N 21,366E
Loppupiste: 68,079N 21,075E
Suunta: 316,3°
Kallistuskulma: 50,6°
Tulonopeus: 73,0 km/s
Radiantin R,A,: 17:03 (255,9°)
Radiantin Dekl,: 32,7°
Meteoriparvi: Sporadinen
Meteoroidin rataelementit:
Perihelietäisyys: 0,941 AU
Eksentrisyys: 3,225
Inklinaatio: 96,6°
Nousevan solmun pituus: 6,1°
Perihelin argumentti: 202,3°
Keskianomalia: -37,5°
Epookki: 2022 MAR 27 01:15:36
orbit plot

Ei-interaktiivinen kuvaaja | Interaktiivinen kuvaaja

position vs time
speed and acceleration