🇳🇴 🇬🇧 🇩🇪 🇨🇿 🇫🇮

Meteor, poloha: Bjørkelangen 2022-03-28 22:28:38 UTC

Soubor KML  |  InteraktivnĂ­ mapa

Mapa zobrazuje dráhy meteoru. Světlejší čáry ukazují směry od pozorovacích stanic při objevení se meteoru a tmavší čáry, kde byl naposledy viděn. Modrá šipka značí viditelnou dráhu meteoru.

static map
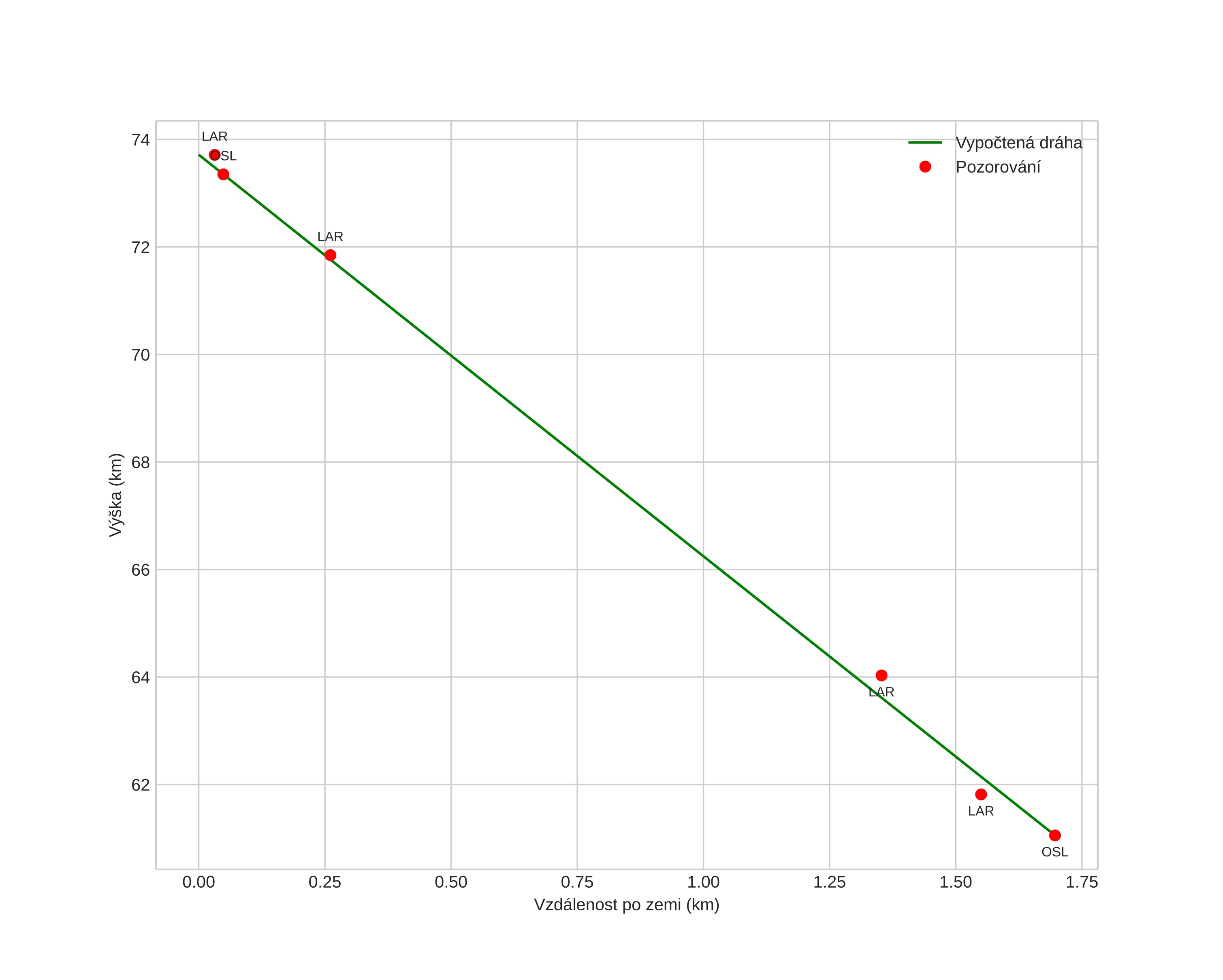
height profile
Atmosférická dráha meteoru:
Počáteční výška: 74,7 km
Konečná výška: 62,5 km
Počáteční poloha: 59,999N 11,713E
Konečná poloha: 59,996N 11,685E
Směr: 255,0°
Sklon: 82,7°
VstupnĂ­ rychlost: 18,6 km/s
Rektascenze radiantu: 12:38 (189,5°)
Deklinace radiantu: 61,3°
MeteorickĂ˝ roj: sporadickĂ˝
Elementy dráhy meteoroidu:
Vzdálenost v periheliu: 0,965 AU
Excentricita: 0,600
Sklon dráhy: 19,7°
Délka vzestupného uzlu: 7,9°
Argument perihelia: 204,4°
Střední anomálie: 355,0°
Epocha: 2022 MAR 28 22:28:38
orbit plot

NeinteraktivnĂ­ graf | InteraktivnĂ­ graf

position vs time
speed and acceleration