🇳🇴 🇬🇧 🇩🇪 🇨🇿 🇫🇮

Meteor Bjørkelangenin yllä 2022-03-28 22:28:38 UTC

KML-tiedosto  |  Interaktiivinen kartta

Kartta näyttää meteorin suuntahavainnot. Vaaleammat viivat näyttävät suunnat havaintoasemilta meteorin ilmestyessä, ja tummemmat viivat näyttävät, missä se viimeksi nähtiin. Sininen nuoli näyttää meteorin näkyvän lennon.

static map
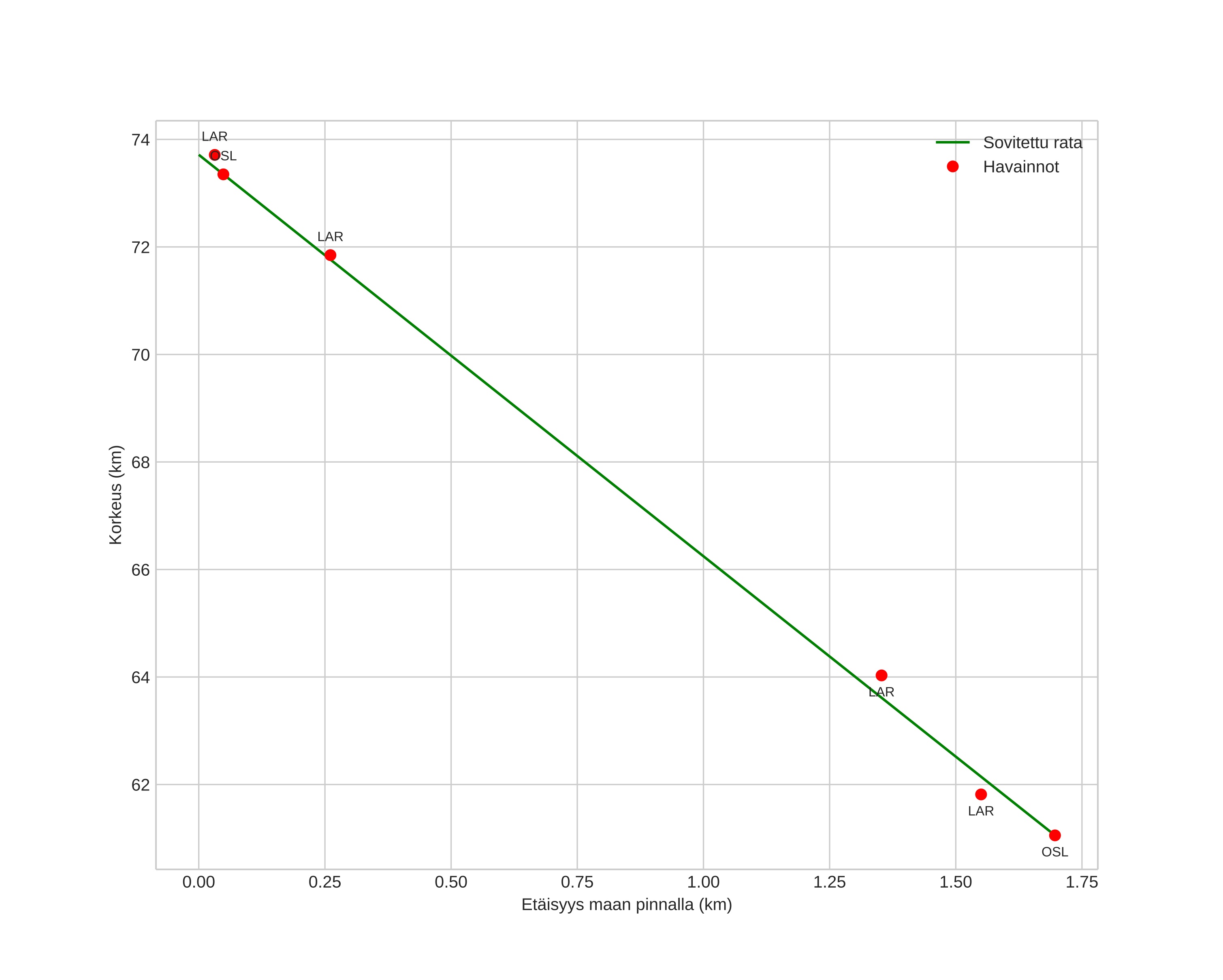
height profile
Meteorin ilmakehärata:
Alkukorkeus: 74,7 km
Loppukorkeus: 62,5 km
Alkupiste: 59,999N 11,713E
Loppupiste: 59,996N 11,685E
Suunta: 255,0°
Kallistuskulma: 82,7°
Tulonopeus: 18,6 km/s
Radiantin R,A,: 12:38 (189,5°)
Radiantin Dekl,: 61,3°
Meteoriparvi: Sporadinen
Meteoroidin rataelementit:
Perihelietäisyys: 0,965 AU
Eksentrisyys: 0,600
Inklinaatio: 19,7°
Nousevan solmun pituus: 7,9°
Perihelin argumentti: 204,4°
Keskianomalia: 355,0°
Epookki: 2022 MAR 28 22:28:38
orbit plot

Ei-interaktiivinen kuvaaja | Interaktiivinen kuvaaja

position vs time
speed and acceleration