🇳🇴 🇬🇧 🇩🇪 🇨🇿 🇫🇮

Meteor, poloha: TĂĄrs 2022-03-30 01:20:23 UTC

Soubor KML  |  InteraktivnĂ­ mapa

Mapa zobrazuje dráhy meteoru. Světlejší čáry ukazují směry od pozorovacích stanic při objevení se meteoru a tmavší čáry, kde byl naposledy viděn. Modrá šipka značí viditelnou dráhu meteoru.

static map
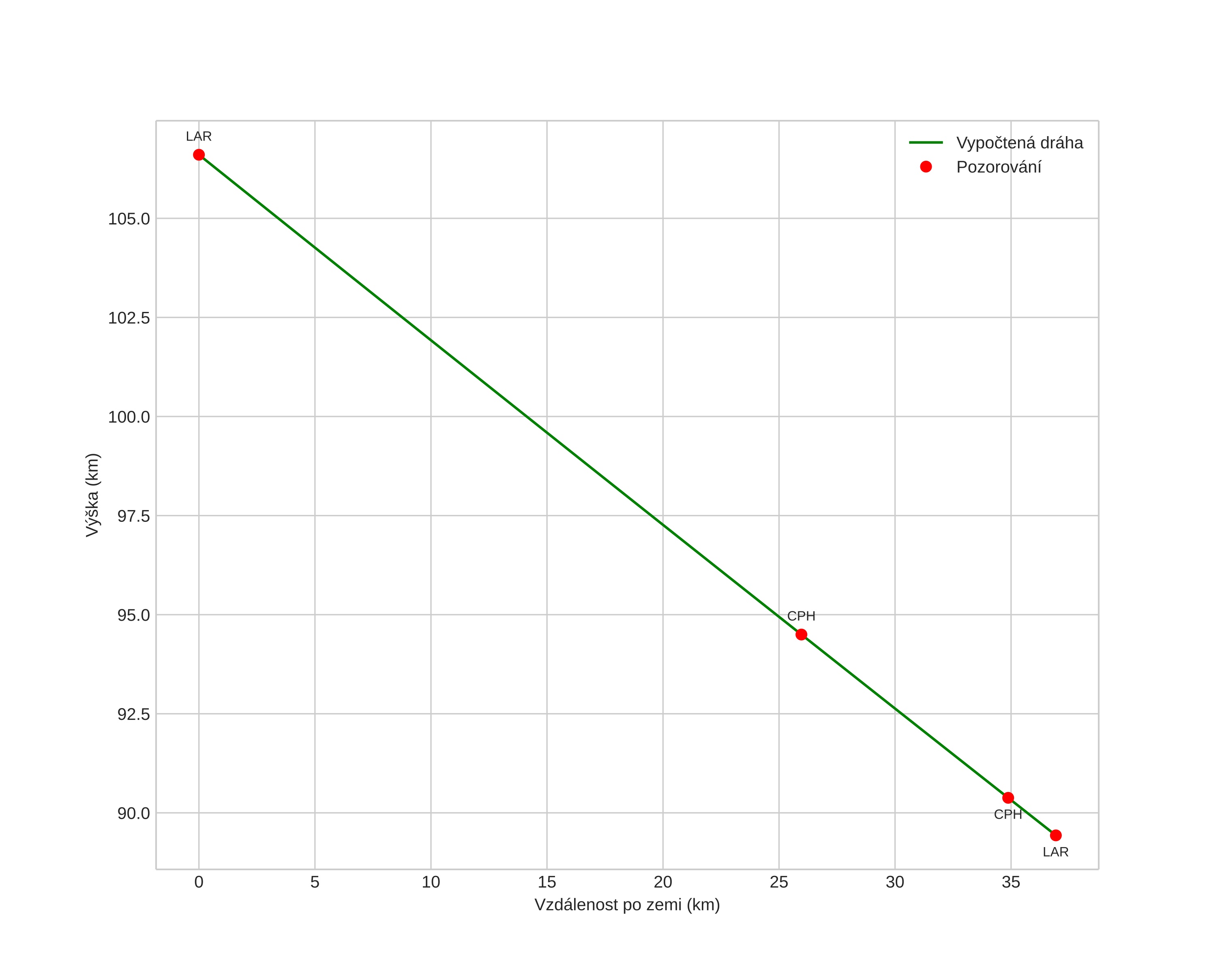
height profile
Atmosférická dráha meteoru:
Počáteční výška: 106,6 km
Konečná výška: 89,3 km
Počáteční poloha: 57,204N 10,733E
Konečná poloha: 57,288N 10,141E
Směr: 284,9°
Sklon: 25,2°
VstupnĂ­ rychlost: 63,8 km/s
Rektascenze radiantu: 18:48 (282,1°)
Deklinace radiantu: 12,9°
MeteorickĂ˝ roj: sporadickĂ˝
Elementy dráhy meteoroidu:
Vzdálenost v periheliu: 0,983 AU
Excentricita: 1,022
Sklon dráhy: 119,6°
Délka vzestupného uzlu: 9,0°
Argument perihelia: 165,5°
Střední anomálie: 0,0°
Epocha: 2022 MAR 30 01:20:23
orbit plot

NeinteraktivnĂ­ graf | InteraktivnĂ­ graf

position vs time
speed and acceleration