🇳🇴 🇬🇧 🇩🇪 🇨🇿 🇫🇮

Meteor Tårsin yllä 2022-03-30 01:20:23 UTC

KML-tiedosto  |  Interaktiivinen kartta

Kartta näyttää meteorin suuntahavainnot. Vaaleammat viivat näyttävät suunnat havaintoasemilta meteorin ilmestyessä, ja tummemmat viivat näyttävät, missä se viimeksi nähtiin. Sininen nuoli näyttää meteorin näkyvän lennon.

static map
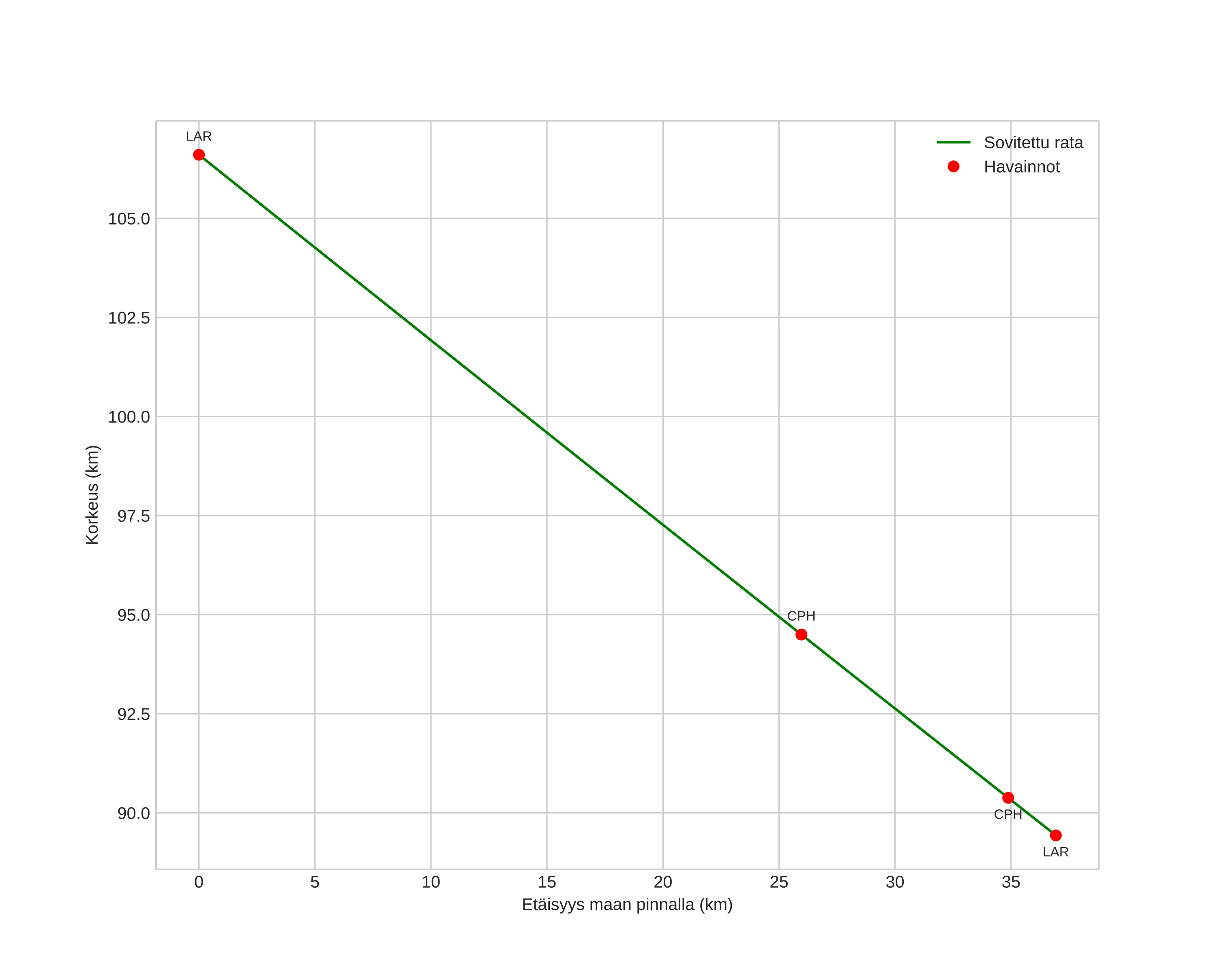
height profile
Meteorin ilmakehärata:
Alkukorkeus: 106,6 km
Loppukorkeus: 89,3 km
Alkupiste: 57,204N 10,733E
Loppupiste: 57,288N 10,141E
Suunta: 284,9°
Kallistuskulma: 25,2°
Tulonopeus: 63,8 km/s
Radiantin R,A,: 18:48 (282,1°)
Radiantin Dekl,: 12,9°
Meteoriparvi: Sporadinen
Meteoroidin rataelementit:
Perihelietäisyys: 0,983 AU
Eksentrisyys: 1,022
Inklinaatio: 119,6°
Nousevan solmun pituus: 9,0°
Perihelin argumentti: 165,5°
Keskianomalia: 0,0°
Epookki: 2022 MAR 30 01:20:23
orbit plot

Ei-interaktiivinen kuvaaja | Interaktiivinen kuvaaja

position vs time
speed and acceleration