🇳🇴 🇬🇧 🇩🇪 🇨🇿 🇫🇮

Meteor, poloha: Skärhamn 2022-04-01 23:47:35 UTC

Soubor KML  |  InteraktivnĂ­ mapa

Mapa zobrazuje dráhy meteoru. Světlejší čáry ukazují směry od pozorovacích stanic při objevení se meteoru a tmavší čáry, kde byl naposledy viděn. Modrá šipka značí viditelnou dráhu meteoru.

static map
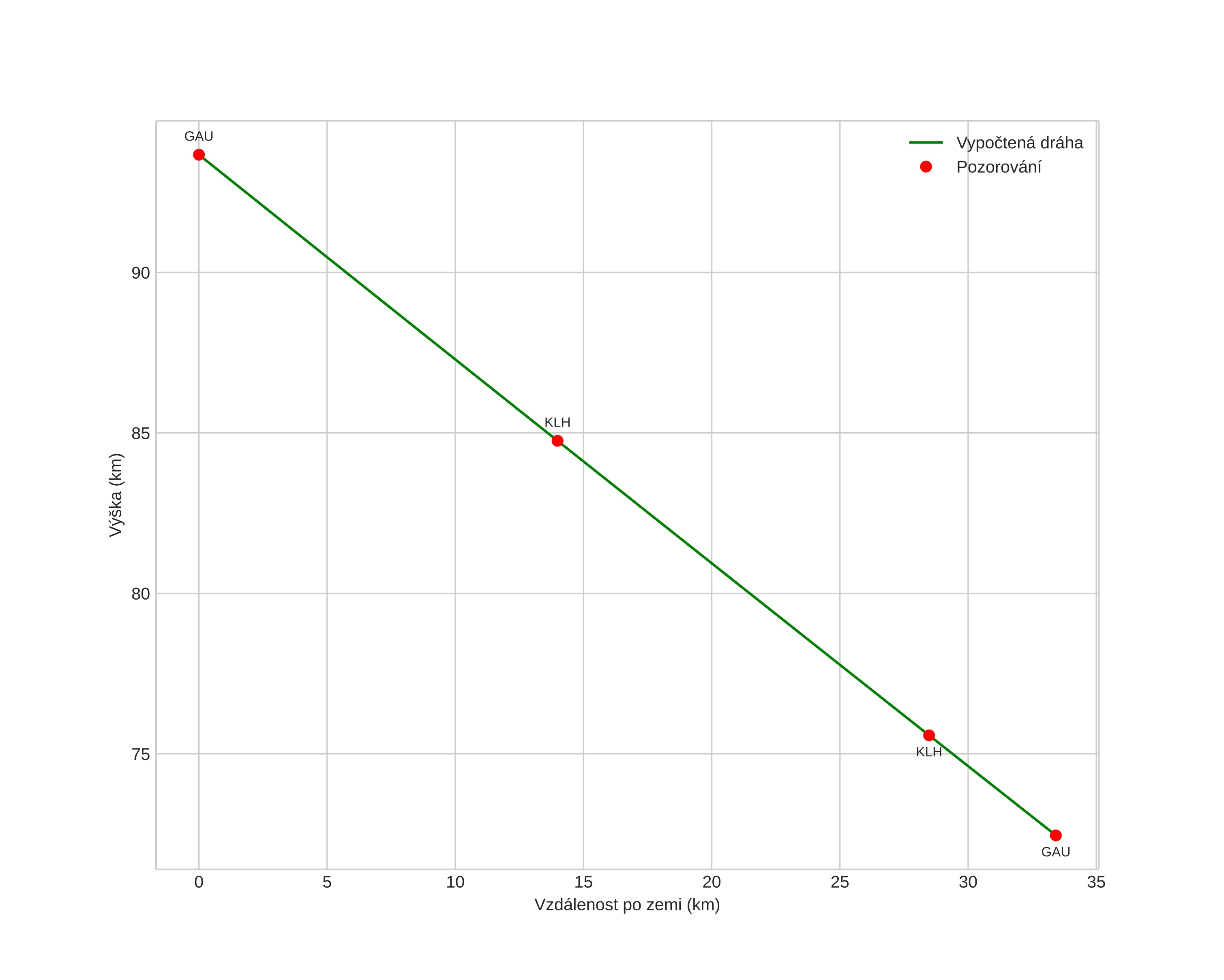
height profile
Atmosférická dráha meteoru:
Počáteční výška: 84,8 km
Konečná výška: 72,0 km
Počáteční poloha: 57,873N 11,470E
Konečná poloha: 58,065N 11,504E
Směr: 5,3°
Sklon: 30,8°
VstupnĂ­ rychlost: 24,1 km/s
Rektascenze radiantu: 12:51 (192,9°)
Deklinace radiantu: -5,0°
MeteorickĂ˝ roj: sporadickĂ˝
Elementy dráhy meteoroidu:
Vzdálenost v periheliu: 0,566 AU
Excentricita: 0,686
Sklon dráhy: 0,4°
Délka vzestupného uzlu: 12,1°
Argument perihelia: 273,7°
Střední anomálie: 340,4°
Epocha: 2022 APR 01 23:47:35
orbit plot

NeinteraktivnĂ­ graf | InteraktivnĂ­ graf

position vs time
speed and acceleration