🇳🇴 🇬🇧 🇩🇪 🇨🇿 🇫🇮

Meteor Skärhamnin yllä 2022-04-01 23:47:35 UTC

KML-tiedosto  |  Interaktiivinen kartta

Kartta näyttää meteorin suuntahavainnot. Vaaleammat viivat näyttävät suunnat havaintoasemilta meteorin ilmestyessä, ja tummemmat viivat näyttävät, missä se viimeksi nähtiin. Sininen nuoli näyttää meteorin näkyvän lennon.

static map
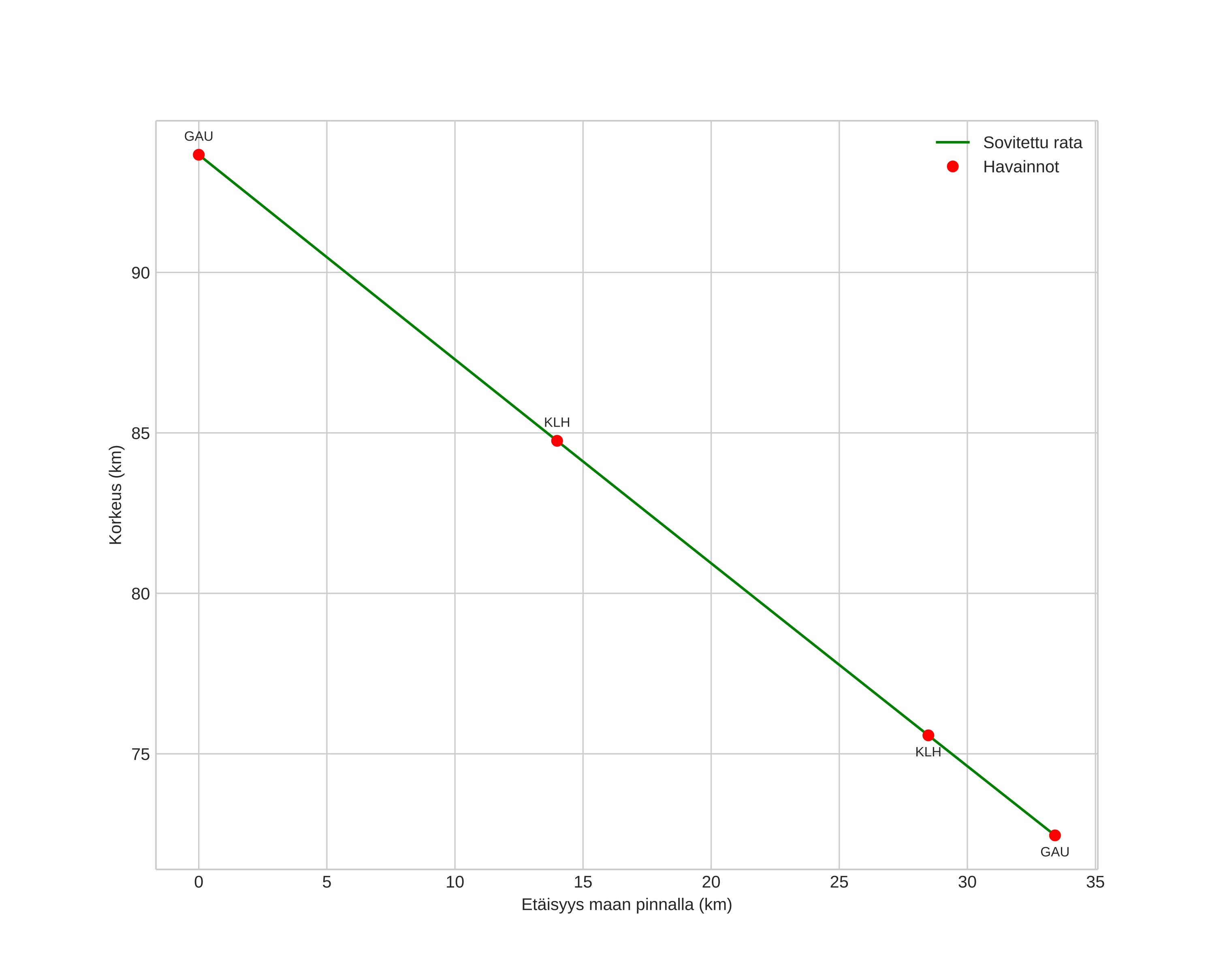
height profile
Meteorin ilmakehärata:
Alkukorkeus: 84,8 km
Loppukorkeus: 72,0 km
Alkupiste: 57,873N 11,470E
Loppupiste: 58,065N 11,504E
Suunta: 5,3°
Kallistuskulma: 30,8°
Tulonopeus: 24,1 km/s
Radiantin R,A,: 12:51 (192,9°)
Radiantin Dekl,: -5,0°
Meteoriparvi: Sporadinen
Meteoroidin rataelementit:
Perihelietäisyys: 0,566 AU
Eksentrisyys: 0,686
Inklinaatio: 0,4°
Nousevan solmun pituus: 12,1°
Perihelin argumentti: 273,7°
Keskianomalia: 340,4°
Epookki: 2022 APR 01 23:47:35
orbit plot

Ei-interaktiivinen kuvaaja | Interaktiivinen kuvaaja

position vs time
speed and acceleration