🇳🇴 🇬🇧 🇩🇪 🇨🇿 🇫🇮

Meteor, poloha: HjelmelandsvĂĄgen 2022-04-02 00:34:20 UTC

Soubor KML  |  InteraktivnĂ­ mapa

Mapa zobrazuje dráhy meteoru. Světlejší čáry ukazují směry od pozorovacích stanic při objevení se meteoru a tmavší čáry, kde byl naposledy viděn. Modrá šipka značí viditelnou dráhu meteoru.

static map
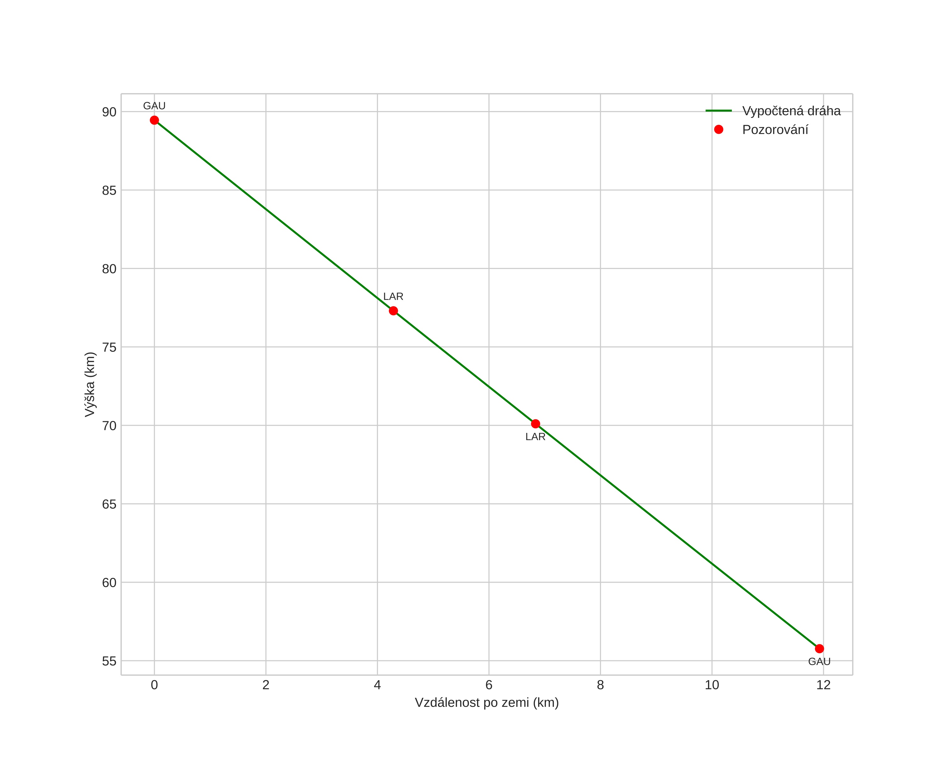
height profile
Atmosférická dráha meteoru:
Počáteční výška: 89,1 km
Konečná výška: 55,6 km
Počáteční poloha: 59,061N 6,161E
Konečná poloha: 59,093N 6,361E
Směr: 72,4°
Sklon: 70,2°
VstupnĂ­ rychlost: 17,4 km/s
Rektascenze radiantu: 11:26 (171,5°)
Deklinace radiantu: 46,9°
MeteorickĂ˝ roj: sporadickĂ˝
Elementy dráhy meteoroidu:
Vzdálenost v periheliu: 0,954 AU
Excentricita: 0,684
Sklon dráhy: 13,1°
Délka vzestupného uzlu: 12,0°
Argument perihelia: 207,4°
Střední anomálie: 356,1°
Epocha: 2022 APR 02 00:34:20
orbit plot

NeinteraktivnĂ­ graf | InteraktivnĂ­ graf

position vs time
speed and acceleration