🇳🇴 🇬🇧 🇩🇪 🇨🇿 🇫🇮

Meteor Hjelmelandsvågenin yllä 2022-04-02 00:34:20 UTC

KML-tiedosto  |  Interaktiivinen kartta

Kartta näyttää meteorin suuntahavainnot. Vaaleammat viivat näyttävät suunnat havaintoasemilta meteorin ilmestyessä, ja tummemmat viivat näyttävät, missä se viimeksi nähtiin. Sininen nuoli näyttää meteorin näkyvän lennon.

static map
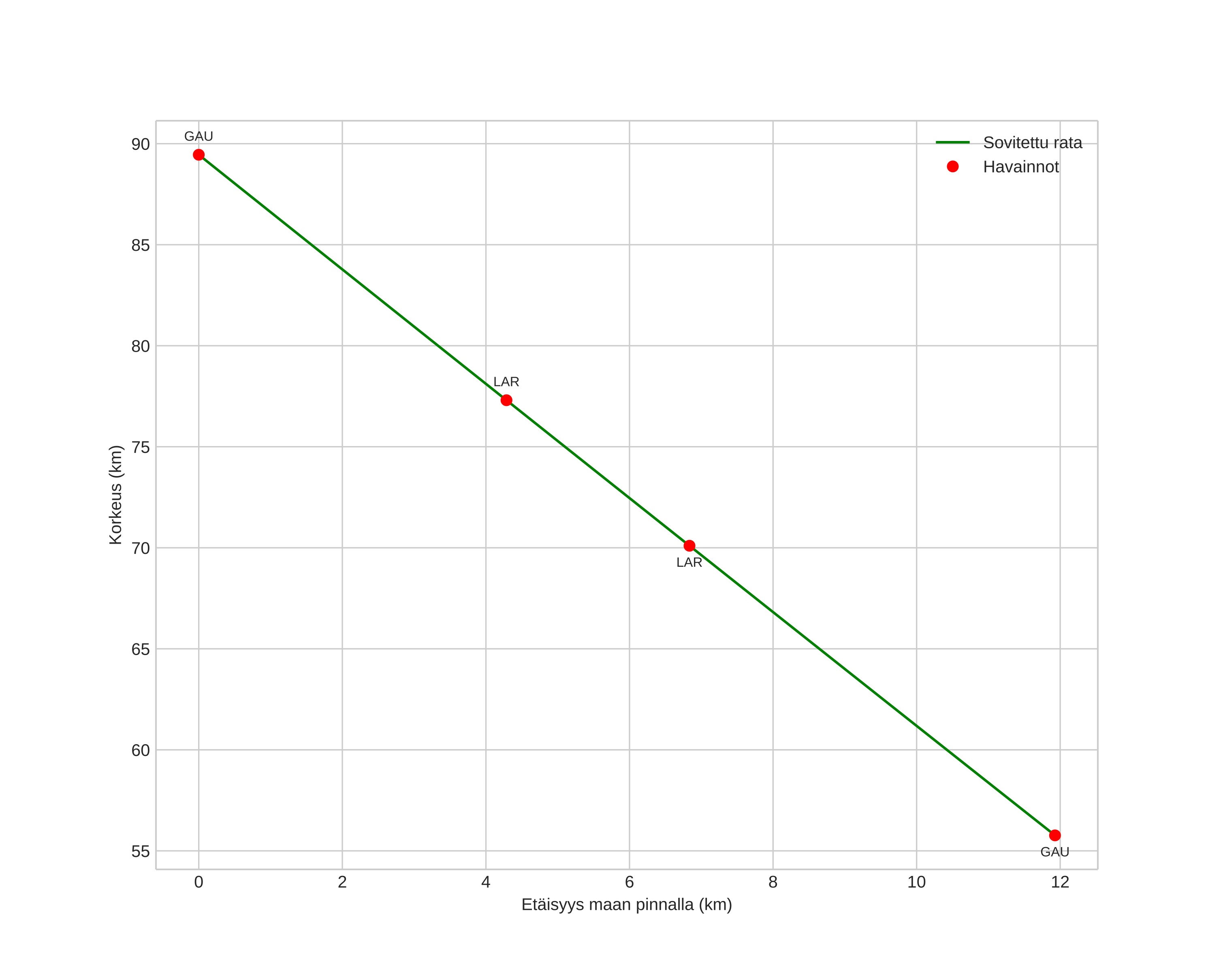
height profile
Meteorin ilmakehärata:
Alkukorkeus: 89,1 km
Loppukorkeus: 55,6 km
Alkupiste: 59,061N 6,161E
Loppupiste: 59,093N 6,361E
Suunta: 72,4°
Kallistuskulma: 70,2°
Tulonopeus: 17,4 km/s
Radiantin R,A,: 11:26 (171,5°)
Radiantin Dekl,: 46,9°
Meteoriparvi: Sporadinen
Meteoroidin rataelementit:
Perihelietäisyys: 0,954 AU
Eksentrisyys: 0,684
Inklinaatio: 13,1°
Nousevan solmun pituus: 12,0°
Perihelin argumentti: 207,4°
Keskianomalia: 356,1°
Epookki: 2022 APR 02 00:34:20
orbit plot

Ei-interaktiivinen kuvaaja | Interaktiivinen kuvaaja

position vs time
speed and acceleration