🇳🇴 🇬🇧 🇩🇪 🇨🇿 🇫🇮

Meteor, poloha: Storslett 2022-04-05 00:01:10 UTC

Soubor KML  |  InteraktivnĂ­ mapa

Mapa zobrazuje dráhy meteoru. Světlejší čáry ukazují směry od pozorovacích stanic při objevení se meteoru a tmavší čáry, kde byl naposledy viděn. Modrá šipka značí viditelnou dráhu meteoru.

static map
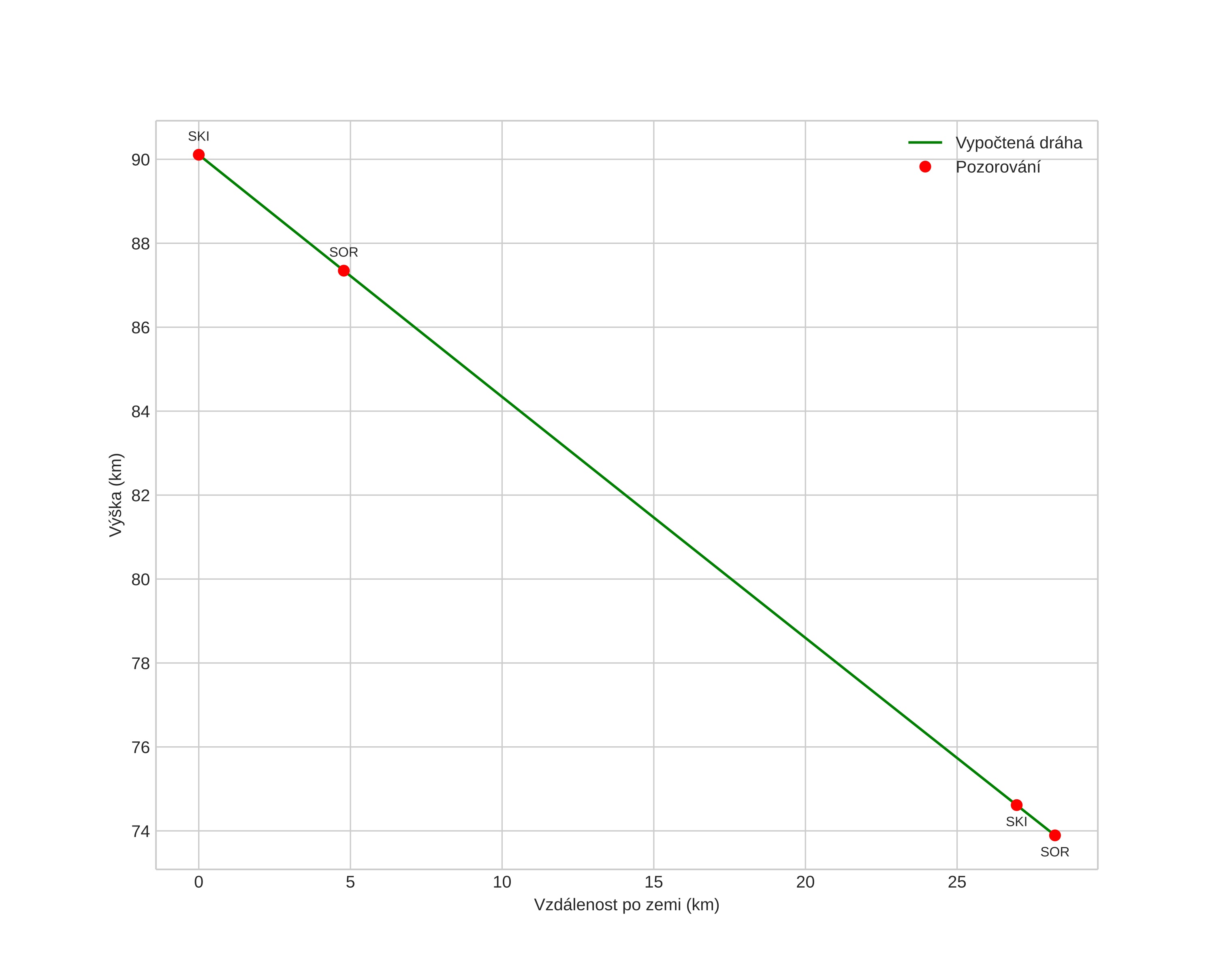
height profile
Atmosférická dráha meteoru:
Počáteční výška: 90,2 km
Konečná výška: 73,9 km
Počáteční poloha: 70,073N 21,594E
Konečná poloha: 69,837N 21,314E
Směr: 202,2°
Sklon: 29,9°
VstupnĂ­ rychlost: 24,8 km/s
Rektascenze radiantu: 00:27 (6,9°)
Deklinace radiantu: 44,3°
MeteorickĂ˝ roj: sporadickĂ˝
Elementy dráhy meteoroidu:
Vzdálenost v periheliu: 0,788 AU
Excentricita: 0,855
Sklon dráhy: 22,0°
Délka vzestupného uzlu: 14,9°
Argument perihelia: 122,6°
Střední anomálie: 2,8°
Epocha: 2022 APR 05 00:01:10
orbit plot

NeinteraktivnĂ­ graf | InteraktivnĂ­ graf

position vs time
speed and acceleration