🇳🇴 🇬🇧 🇩🇪 🇨🇿 🇫🇮

Meteor Storslettin yllä 2022-04-05 00:01:10 UTC

KML-tiedosto  |  Interaktiivinen kartta

Kartta näyttää meteorin suuntahavainnot. Vaaleammat viivat näyttävät suunnat havaintoasemilta meteorin ilmestyessä, ja tummemmat viivat näyttävät, missä se viimeksi nähtiin. Sininen nuoli näyttää meteorin näkyvän lennon.

static map
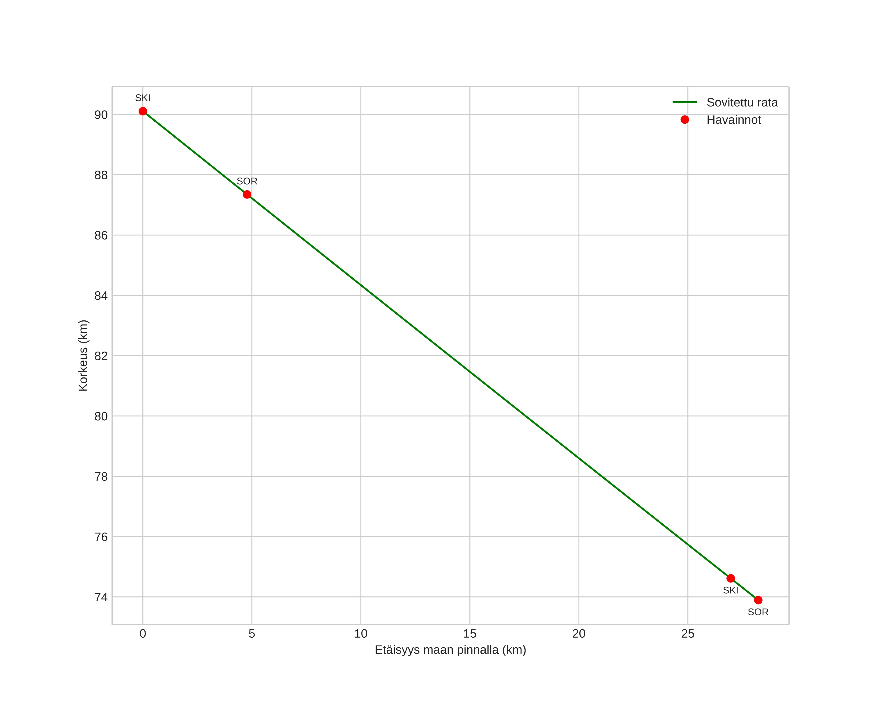
height profile
Meteorin ilmakehärata:
Alkukorkeus: 90,2 km
Loppukorkeus: 73,9 km
Alkupiste: 70,073N 21,594E
Loppupiste: 69,837N 21,314E
Suunta: 202,2°
Kallistuskulma: 29,9°
Tulonopeus: 24,8 km/s
Radiantin R,A,: 00:27 (6,9°)
Radiantin Dekl,: 44,3°
Meteoriparvi: Sporadinen
Meteoroidin rataelementit:
Perihelietäisyys: 0,788 AU
Eksentrisyys: 0,855
Inklinaatio: 22,0°
Nousevan solmun pituus: 14,9°
Perihelin argumentti: 122,6°
Keskianomalia: 2,8°
Epookki: 2022 APR 05 00:01:10
orbit plot

Ei-interaktiivinen kuvaaja | Interaktiivinen kuvaaja

position vs time
speed and acceleration